ISSN: 1885-8031
http://dx.doi.org/10.5209/REVE.65482
Empresas democráticas y éxito económico. El modelo cooperativo
María José Cabaleiro Casal[1], Carlos Iglesias Malvido[2] y Rocío Martínez Fontaíña[3]
Recibido: 1 de marzo de 2019 / Aceptado: 30 de mayo de 2019
Resumen. Este artículo analiza cómo los principios cooperativos, particularmente la gestión democrática, afecta al objetivo económico de la cooperativa. El modelo teórico muestra qué características debe presentar la función de producción de la empresa para que la democracia genere ingresos netos positivos. Los costes derivados de aplicar el criterio de una persona, un voto, ante la entrada de nuevos socios, son explícitamente incorporados en esta función de producción. Los resultados muestran que la democracia contribuye al éxito económico cuando la estrategia de toma de decisiones aplicada por los socios respeta el conjunto de principios cooperativos, especialmente cuando se adopta habitualmente una política de excedente positivo. Este estudio puede extenderse a todas las empresas de Economía Social interesadas en reforzar las instituciones democráticas en la gestión empresarial.
Palabras clave: Principios cooperativos; Objetivos cooperativos; Participación Económica; Gestión democrática; Costes de decisión; Excedente cooperativo.
Claves Econlit: D70; J54; M20; P13.
[en] Democratic firms and economic success. The co-op model
Abstract. This paper analyzes how co-operative principles, particularly democratic management, affect the co-op’s economic objective. The theoretical model specifies the characteristics presented by the production function so democracy generates positive net income. Costs derived from maintaining the one person one vote criterion are explicitly incorporated into this function upon new membership. The results show that democracy contributes to the economic success when the decision-making strategy followed by the partners considers all cooperative principles, especially when a retained earnings policy is regularly applied. This study can be extended to all of Social Economy firms concerned about reinforcing democratic institutions through the business sector. This study can be extended to all of Social Economy firms concerned about reinforcing democratic institutions through the business sector.
Keywords: Co-op principles; Co-op objectives; Economic participation; Democratic management; Decision costs; Economic surplus.
Summary. 1. Introduction. 2. Theoretical debate. 3. Objectives and Principles. 4. Conclusions. 5. References.
How to cite: Cabaleiro Casal, M.J., Iglesias Malvido, C. y Martínez Fontaíña, R. (2019) Democratic firms and economic success. The co-op model. REVESCO. Revista de Estudios Cooperativos, Tercer Cuatrimestre, Nº 132, pp. 29-45. DOI: 10.5209/REVE.65482.
1. Introduction
The principle of democratic management is characteristic of co-operatives. Each co-op member has a vote on the decision-making, regardless of their capital contribution. It is reasonable to expect these costs to be negligible when few members manage the firm and to increase as the number of partners increases (Hansmann, 1988; Hart and Moore, 1998). Adhering to democratic rules may represent less income for the members and reduce the co-op’s chances of economic success (Hansmann 1988, Morales 1996, Bel 1997, Hart and Moore 1998, Mozas 2002). However, evidence reveals the economic success of large competitive co-operatives within an international context (Birchall, 2014). Following the theoretical developments of Ward (1958), Domar (1956) and Vanek (1970) (WDV model, hereafter), abundant empirical works have rigorously contrasted the viability of co-operatives as compared to conventional capitalist firms (Bonin, Jones and Putterman, 1993). However, these studies make no focus on the extent to which the success of co-operatives relates to democratic management as well as to the rest of the rules governing cooperatives for over 150 years.
One reason is that the literature is fundamentally based on the WDV model, which assumes that the aim of the co-operatives is simply a sum of individual objectives. This implies a sole procedure for applying the principles. However, co-ops can apply the principles flexibly and define their collective objective while also achieving individual goals throughout the whole process. The way the co-operative distributes its net income makes it particularly evident. The full distribution of net income among partners, without retaining a part to self-finance the company, is compatible with the principles. However, this is also the case of a system choosing to retain income, which becomes a collective resource. One way or the other, the partners make decisions democratically.
Considering the aforementioned, this paper proposes a model that analyzes co-ops applying the principles flexibly while combining individual and collective objectives. It begins with the income function of the WDV model to collect the effects on net income, particularly the costs associated with democratic decision-making, assuming that these costs increase as the number of partners increases. The analysis includes the different net income distribution options, especially when the co-operative is likely to reach an economic surplus. This is how the study confronts the similarities and differences between partner and co-operative perspectives.
The results of the work show that partners can apply the same principles following different strategies to achieve their objectives. In all strategies, the cooperative provides positive net income to the partners. Yet this is no guarantee of co-op success, which requires a system of income distribution that meets individual and collective objectives. When the partners apply the democratic rule by admitting new members and democratically deciding to maintain a system of income distribution seeking to achieve both of these objectives, the cooperative consolidates and extends its model. This is crucial to the success of the co-op. Democracy contributes to the economic success of the company when the decision-making strategy followed by the partners contemplates the set of cooperative principles.
The article is organized as follows. Section 2 reviews the economic literature on the purpose of a co-operative. Section 3 describes the characteristics of the net income function to be presented by the firm once the decision costs are explained separately. It then illustrates a specific form of production that exemplifies the trade-offs that partners confront when they follow co-operative principles to reconcile collective and individual objectives. Finally, Section 4 ends with a summary of the main results and conclusions.
2. Theoretical debate
The promoters of the co-operative movement had clear aims from the very start concerning the goals of a co-operative. In reaction to the enormous inequalities caused by the industrial revolution, their ultimate desire was to achieve a fairer society. The first co-operatives promoted by William King adopted different ideas promoted by the utopian socialists (Saint-Simon, Owen, Fourier, King, Buchez, Blanc, and Derrion) that were effectively collected in the statutes of The Wholesale in 1844, the consumption co-operative of the Rochdale Pioneers. These ideas later became, with certain variants, the principles of the co-operative movement through its main institution, The International Co-operative Alliance (Lambert, 1975; Lasserre, 1972; Estrin and Perotin, 1987).
Ward (1958), Domar (1966) and Vanek (1970) followed these principles and modeled the co-op objective to compare it to conventional capitalist enterprises. Their criterion of maximization of net income per partner promoted a series of works that enriched the economic analysis of co-operatives. Notable among them is the work of Meade (1972) developing the WDV model to show it is possible to differentiate co-operatives under the same principles following very different strategies. It also considers co-operatives that may, in practice, behave like conventional capitalist firms.
One of the fundamental criticisms of the model WDV model comes from the Theory of the Agency. Furubotn (1976), Jensen and Meckling (1979), among others, pointed out the problem of time horizon as one of the coops’ main weaknesses. The improbable recovery of part of the resources allocated to the company's retained earnings causes the member to constantly lose part of the future returns on capital. This loss puts co-operatives at a disadvantage with respect to conventional capitalist firms and entails disappearance, degeneration or a minority presence.
Despite these criticisms, empirical evidence does not confirm the superiority of traditional capitalist enterprises (Bonin, Jones and Putterman, 1993). Co-operatives can compete with productivities or returns akin to those of the market. The phenomenon of underinvestment contradicts certain evidence. On the one hand, the average size of a co-operative is often greater than that of traditional companies (Perotin, 2015). On the other hand, some coops retain earnings from partners to reinvest in the firm (Cabaleiro-Casal and Iglesias-Malvido, 2016) and they use these retained earnings to face downturns (Navarra, 2016). This proves that partners also consider other objectives besides net income. Notable to this respect are the works of Craig and Pencavel (1993), Burdin and Dean (2009) and Pencavel (2015), which introduce employment in the production function to contrast the weight partners grant to maintaining employment as opposed to partner income. This result coincides with empirical studies showing that cooperatives have a greater capacity to create employment under depressed economic conditions. However, co-operatives are the alternative in more scenarios than just economic crises. Other factors such as local banking development (Gagliardi, 2009), advisory services specialized in co-ops (Kalmi, 2013), human capital specificity and worker homogeneity (Belloc, 2017) may all trigger the formation of co-operatives.
Two recent surveys about co-operatives agree on the need to readdress and delve further into the theoretical field. Dow (2018) points out the relative lack of theoretical research as compared to empirical work over the last decades. Bretos and Marcuello (2017) recommend studying how cooperative principles influence efficiency and competitiveness within the context of a more globalized world. Even though Dow (2018) suggests abandoning the WDV model, the impact of the principles on the net income of co-ops makes this model suitable to analyze co-ops. The reformulation must incorporate three fundamental principles: open membership, economic participation and democratic control.
The principle of open membership proposes that the co-operative should welcome all those who wish to become members, provided they meet the necessary requirements, as a basic strategy for the expansion of the co-operative model. Therefore, according to this principle, the long-term goal of all co-operative firms should be to increase membership. The decision to admit new members must respect the principle of democratic management, which indicates that all decisions must be made following the one member one vote criteria. In this way, all those who contribute more capital to the company do not accumulate more power.
In deciding whether to admit new members, partners consider the impact of their decision on their income, conditioned by the application of the principle of economic participation. Unlike the two former principles, this principle is less explicit in its content due to the classical debates concerning fair price and the role of profit in capitalist firms (Lasserre, 1980). The so-called value of commutative justice assumes that capital must be remunerated at a limited interest rate, work must be remunerated according to a fair wage and the price paid to the inputs delivered by the producers must also be fair. In this way, the price of the products will be fair for the final consumer if the income of the activity covers the intermediate costs and the fair remuneration of the factors. Upon achieving these objectives, the co-operative also achieves the individual objectives of its members and contributes to the welfare of society as a whole.
Discrepancies are greater concerning the so-called value of distributive justice, which affects the amount of surplus of the business activity and its distribution. No consensus has been reached on the way the surplus should be distributed or whether it should be an objective of the co-operative. However, certain shared rules deal with distribution. It is common for one part of this surplus to return to the partner, while the rest remains in the co-operative and must be used to increase retained earnings and provide funds for training and inter-cooperation activities.
In short, maximization of individual economic objectives (net income, wages, employment, etc.) must be present in the analysis of these democratic firms, but it must also consider the impact of property rights on future partner income. We propose that these elements be taken as restrictions to the collective objectives pursued by co-operatives.
3. Objectives and Principles
The co-op must make compatible collective and individual aims, and it must do so respecting co-operative principles. This puts these firms in a special place with respect to the rest of the capitalist companies (Marcuello and Nachar 2013), particularly when they need to increase financial resources. New equity may come from either current or new partners. In the case of the former, the members keep control of the company but make a greater financial effort. In the case of the latter, the current partners may reduce their financial contribution in exchange of decision-making power.
Although both alternatives may be combined to achieve the same collective objective, our model proposes a situation in which partners must choose between two extreme situations: to either open the door to a greater number of partners and reduce their individual financial contribution or make a greater contribution to capital to avoid the entry of new partners.
3.1. The Co-operative’s perspective
Collectively, a co-operative must try to obtain the maximum level of production from the resources provided by partners. Let n be the number of co-operative members who decide to jointly exploit an asset, A. The participation of partners in the business activity will depend on the type of co-operative. This may consist in a number of work hours, delivered production, or acquired production. Regardless of the type of participation, let us call the partner's net contribution to the activity xi.
Given that the participation of each partner is generally very much alike, we will assume that it is the same for all the n partners:
(1)
Then, let X be the function describing the aggregate net product of the activity the partners can obtain with the available asset (which we will consider constant).
The partners must therefore decide on the number of partners participating in the co-operative. They must also decide the working hours or amount of product to be delivered or consumed. This function must comply with a series of requirements so that members decide to share the asset. In the first place, the product of the business activity must increase with the number of partners, regardless of the legal form of the company:
(3)
Secondly, we have assumed that the income derived from the entry of new members is distributed per capita among all the partners; a partner will show greater willingness to receive new members when the production function presents increasing returns[4]. That is:
(4)
The fulfillment of this condition implies that the entry of new partners increases net product per partner given that the member’s marginal net product is higher than the marginal increase of the average net product.
(5)
Given the double condition of the partner, he will choose to join a co-operative as long as his net production exceeds what he would obtain individually. Using this same criterion, the members of an existing co-operative are willing to welcome new partners if the increase in the net production of the co-operative after the entry is accompanied by an increase in the average net product per partner.
We must now assume that increasing returns
of the co-operation disappear as of a certain number
of partners. Otherwise, it would always compensate to exploit the
common asset. Thus, the production function must present diminishing returns.
In this case, the properties of the function are:
(6)
(7)
The entry of a new partner makes the increase in the marginal net production per partner lower than the marginal increase in the average net production. This discourages the entry of new partners.
Since
is the value as of which increasing returns become decreasing
returns, the following must be fulfilled:
(8)
From all of the above, we have obtained the characteristics the co-operative’s production function must present to explain restrictions on the entry of new members and why some co-operatives share a common asset.
(9)
Values below
create incentives to cooperate, which disappear as of higher
values. This explains why numerous co-operatives have a small number of
partners. However, it is unable to explain the existence of co-operatives with
a number of partners greater than
. To this end, we propose to include the principle of economic
participation in the analysis.
3.2. Income Distribution: Principle of Economic Participation
In the
co-operative, members' income for their contributions to capital (ki) and participation in
productive activity (
) must be established in advance to apply the value of commutative
justice. Being
the fixed price for the fair remuneration of the capital,
constitutes the financial compensation. Let us call
the price that the co-operative establishes as fair remuneration for
the participation of each partner in the activity, in such a way that
is the economic compensation of the member.
is the sum of the financial and economic compensation of all the
partners:
(10)
The co-operative assumes the collective
objective of achieving at least enough income
to compensate all of its members both financially and economically. Assuming
that all partners receive the same income (
) and contribute an equal amount to the
capital (k)[5].
That is to say:
(11)
(12)
By considering [11] and [12], expression [10] above may be rewritten as:
(13)
Given our
assumptions, we can see that
fluctuates according to the number of partners, but it is constant
for the other variables. Increased partnership permits co-ops to increase their
production. However, this implies a greater salary expense; the marginal
increase of production must at least meet the value of the salary:
(14)
If we establish p as the market price of product X offered by the co-operative in a competitive market, the fulfillment of the objectives will depend on the volume of net income (pX) achieved by the co-operative. Three different situations may take place:
i. Case
: The net income of the co-operative is insufficient to achieve the
fair remuneration of the members; the company has losses. Given this situation,
one of the possible strategies is to reduce the number of partners.
ii. Case
: If this happens, the co-op compensates
their members financially and economically according to the established
remuneration. The criterion of commutative justice is fulfilled, but
distributive justice cannot be applied because there is no surplus. This
situation creates no incentives to increase size.
iii. Case
: If the company obtains a positive surplus (
) in addition to satisfying the economic needs of the partners, it
may fully apply the principle of economic participation. The part of the
surplus retained as common equity enables the co-op to pursue the collective
objective. This situation creates incentives to open the door to new members
and increase size.
The latter case explains the existence of
co-operatives with a number of partners above the critical value (
). Taken to the extreme, this fact could lead to an unlimited growth
of the co-operative. Evidently, it is unlikely to happen because decision-making
cost rises as membership increases. So, the model requires a variable that
reflects cost variation upon new membership.
3.3. Decision Costs: Principle of Democratic Management
The value of democracy, initially collected in one member one vote
is the hallmark of co-operative firm. In the models of classical literature,
this effect is implicit in the production function upon the existence of
diminishing returns. The literature generally concurs that a greater number of
partners always generates a higher cost because the heterogeneity of the
partners increases and it becomes increasingly difficult to reach a consensus
(Hansmann, 1988; Hart and Moore, 1998). Given the likely significant effect of
new membership on decision-making, it seems relevant to explain this effect and
the technical function of net production
separately[6].
Similarly, if we define:
(15)
as the function describing how the costs of applying the democratic management principle evolve as the number of partners increases, then:
(16)
(17)
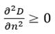
The growth of these costs may vary from one co-operative to another. In small teams, the decision is usually made by consensus and in real time, needless of prior meetings. This speeds up the decision-making process practically without incurring costs. We may say this represents a system of direct democracy in decision-making. The cost of reaching an agreement increases as the number of members increases. What is more, they are expected to increase in a greater proportion as of a certain number of partners. This makes it impossible to apply the system of direct democracy, which will instead be closer to a representative democracy. In the latter case, growth in decision costs stabilizes upon the delegation of most of the decision-making.
The union of the net production function of the co-operative and the function of decision costs allows us to express the objective function of the co-operative as:
(18)
When combining these costs with the net production function, the defined characteristics of the net income function are:
i. It is canceled for a value of n equal to zero or when X(n)=D(n). In this case, the positive effects of carrying out joint business activity in the co-operative are offset by the decision costs derived from participating in the management. The costs of democratic management absorb the results of economic participation.
ii. It takes positive values whenever X(n)>D(n), i.e., with a number of partners for whom the net income exceeds the decision cost.
iii.
It is increasing when
because
. The increase in income derived from the entry of new partners is
greater than the increase in the decision costs that such entry causes.
iv.
It is decreasing when
given that
. The increase in income derived from the entry of new partners is
less than the increase in decision costs caused by the entry.
This function is no more than the net income function of the WDV model, which explicitly incorporates the costs derived from the application of the democratic management principle.
3.4. Strategies and Dilemmas of the Co-operative
For the sake of clarity, let us propose that the net production of co-op, Y, adopts the functional form described in [19]. As we will see, this function complies with the previous theoretical requirements.
(19)
In this equation the ratio
informs of the use each partner makes, on average, of the
shared asset. This can be interpreted as the productivity of the partner. Thus,
the function shows that the production of the co-operative depends on the
number of partners, the volume of assets and the average productivity of the
member.
Parameters α
and β reflect the organizational capacity of the
co-operative to extract from the group of partners a volume of net production
higher than what they would extract if these partners worked separately. The
first term (α
qn2) is associated with the positive effects of the entry of
new partners on production, while the second term (β
q2n3) corresponds to the negative
effects of a greater number of partners. This second term may also be
interpreted as a congestion effect resulting from a greater number of partners
jointly managing the asset.
It can be seen in the function that the
product
is the asset turnover. Assuming that the asset volume is fixed, we
may observe that asset turnover becomes the main variable, in function of the
number of partners. As a consequence, asset turnover increases only and only if
new members enter. The level of assets, which we have assumed to be constant,
determines the scale of the activity[7].
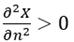
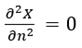
We can analytically verify that the proposed function complies with the general properties discussed above. A maximum of production is present for a certain number of partners when the following two conditions are met:
(20)
(21)
The function Y
shows positive values provided that α>βqn. Under this condition, it is
satisfied that the net production reaches a turning point in n=α/3βq
and a maximum in n=2α/3βq. It takes null values when no partner
participates and when
. As of this last
value, the entry of more partners would have more negative than positive
effects.
If we establish
the price level as the unit, variable Y represents the accounting net
turnover (which approaches the concept of net co-operative income proposed in
the WDV model). We can affirm that the co-operative function will have positive
income and a maximum in
provided that:
(22)
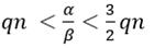
Under our assumptions, the entry of more partners will depend on the organizational capacity of the co-operative for a given asset turnover. The greater the difference between the positive effects of cooperating (α) and the negative effects of cooperating (β), the greater the number of partners reaching maximum revenue is. The defined production function also allows us to deduce that, for a given α and a β, the partner will prefer to share the common asset the lower the productivity it extracts from the asset separately. In other words, cooperation allows for a more intensive use of shared resources, which would otherwise maintain a certain degree of idleness. This is really the condition of viability of the co-operative.
This objective must be achieved under the principle of economic participation. As we may recall, this is:
(23)
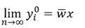
This function takes the value
for n=0 and increases with respect to n. Its slope is the salary established in the co-operative
. Figure 1 displays the line relative to the net production
function. More than one strategy accomplishes the objectives of the
co-operative.
Figure. 1. The co-op objective.

Source: Own elaboration
For a number of partners between the values nL and nK, the co-operative may meet its objectives[8]. For values lower than the first or higher than the second, the co-operative fails to satisfy the restriction. It is precisely in the values nL and nK that the equality between the net income of the co-operative and fair remuneration of the partner is met. This situation reveals a first dilemma faced by the members of the co-operative: it can achieve the same goal with a small or large number of partners. Evidently, the same principle of open membership is being applied differently in nL and nK.
A relevant difference affects the way the principle of economic participation is applied between the intermediate values and the values nL and nK. The accounting surplus is zero at the extremes, while the co-operative liquidates its accounts with a positive surplus in the intermediate values. This is the second dilemma faced by the members. If they only intend to apply distributive justice and achieve a fair retribution of activity and capital, the co-operative must choose between two alternatives: nL or nK. However, the number of members is between the values nL and nK if they also apply the value of commutative justice. This is where the net income of the co-operative exceeds the income assigned to the members and, consequently, the surplus is positive.
In cases of
positive surplus, the principle of economic participation establishes that the
surplus must be partially used to increase the resources of the co-operative,
as well as coop training, information and collaboration[9]. The model
shows diverse possibilities of surplus. Its maximum level,
, is not necessarily
reached with the largest number of partners or the largest volume of
co-operative net income. The number of partners with which to obtain the
maximum surplus may be lower than the maximum net income. Its amount depends on
the technical characteristics of the company, but it essentially depends on
whether the collective objective of the co-operative includes the surplus.
Although these objectives are decided democratically among all partners, each
partner must finally make a personal assessment on how new membership affects
their individual objectives.[10]
3.5. The Partner's Perspective
The perspective of the partner is not necessarily identical to the perspective of the co-operative. Each partner must analyze how he is particularly affected by the entry of a new member. Part of the effects will take place immediately as a result of their economic participation, while other effects will extend into the future as a result of the cost associated to the financial immobilization of their contribution to the capital.
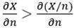
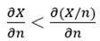
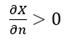
The net production per member results from dividing the joint production by the number of partners:
(24)
The function
is growing and concave with respect to the number of partners, as
may be deduced from the first and second derivatives of the function:
(25)
(26)
Figure 2
represents this function. The function has a maximum value at
. It is canceled for the values n = 0 and
. For low values of n, the entry
of new partners leads to an increase in the net income of the co-operative,
until it reaches its maximum[MR11] value at α/2βq.
From this value, costs grow at a faster rate than the revenues generated by the
greater number of partners. Consequently, even though the number of members may
increase beyond the value for which the
maximum income is reached, this increase is associated with a reduction in the net income of the co-operative.
Figure. 2. The partner’s objective.

Source: Own elaboration
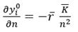
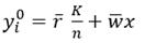
The partner does not receive
, but rather receives
, the income that results from applying the co-operative principle
of economic participation:
(27)
As we have assumed that all members have contributed equal parts of capital, the individual income of the member is:
(28)
This function monotonically decreases with
horizontal asymptote in
, given that:
(29)
(30)
In Figure 2 we can see how the net income and the fair income per member both change with the number of members when the asset is kept constant. Clearly from the sign of the expression [29], the individual contributions to capital are reduced with the entry of partners and so is the remuneration for this concept. Thus, the remuneration perceived in the limit (expression [30]) is close to the one corresponding to an employee of the co-operative that contributes no capital (only labor). The entry of new partners allows for a constant economic income, and it reduces individual financial income due to the lower capital contribution. For the values of nL and nK, the compensation of the partner coincides with the average net product per member, for which there is no surplus. The surplus is positive between the intermediate values.
Therefore, when a co-operative considers the optimal size of membership to share an asset, each partner must choose the appropriate combination of economic participation and financial participation at an individual level, and consider the impact of new membership on the decision-making process. The smaller the number of partners, the lower the decision costs in exchange for making a greater individual contribution in terms of capital. The greater the willingness to enter new partners, the higher the decision costs that will be compensated with a lower financial commitment. Both decisions are strategies that result from applying co-operative principles differently.
When members choose to keep a small number of members, they restrict the open door principle by setting a high requirement in terms of capital contribution per member. In so doing, they also concentrate income from the activity and reduce the differences between the marginal revenue per partner and the average net income per partner. This is the situation that is exposed in the WDV models. At the other extreme, the partners flexibly apply the principle of open membership to reduce capital requirements per member. However, they run the risk of distorting the essence of the co-operative with extremely low financial contributions per partner. Each partner acts like a salaried worker.
These are the two situations usually highlighted in the co-operative: one describes the difficulties of co-operatives to grow, and the other their tendency to behave like a conventional capitalist firm. However, a third situation happens when the partners voluntarily waive part of their income and maintain a positive surplus as their usual policy. This is the way co-ops achieve economic success and it includes: obtaining economic compensation for the partners, reinvesting in the co-op and making the democratic firm extensive to new members and to society as a whole.
4. Conclusions
The economic success of the co-operative depends on the way the partners apply the principles, particularly when they decide on their strategy to admit new partners. Some of these strategies allow the survival of the co-operative, but clearly differ in size and financial commitment. Most are demanding in terms of new membership given the increase in decision costs associated to applying the democratic management principle. This makes them small-sized firms with reduced membership that maintain high participation in the activity and high financial contribution. Yet we observe that other companies open the door to a greater number of partners because this has no significant effect on decision costs and it entails lower individual partner commitment in the firm’s activity and financing. Although they implement the principle of free access differently, both strategies apply the principle of economic participation the same way; this leads to the non-existence of surplus. This might imply the risk of degeneration but, above all, it breaches the ultimate objective: the expansion of the co-operative formula.
Contrarily, when partners apply the value of commutative economic justice implicit in the principle of economic participation in addition to complying with the principles of open membership and democratic management, they contribute to the expansion of the co-operative model in conditions that guarantee the economic viability of the firm. If the increase in income is greater than the increase in the costs of the activity, both in terms of production and decisions, the resulting net income leads to a positive surplus. According to the value of distributive justice inherent in the principle of economic participation, this surplus must return to the individual, the co-operative and society. That is, democracy contributes to the economic success of the co-operatives when the partners integrate the full set of principles into their individual and collective objectives.
This paper highlights that one of the keys to economic success lies in following the principles outlined by co-operative movement forerunners. These principles have hardly changed throughout time. They are the fundamental core of co-ops and the best blueprints for harmonizing individual and collective objectives. This is why our work suggests keeping this perspective in the analysis and leaving behind the recurrent comparison between co-ops and other economic organizations. To this end, we should make a greater effort to analyze the principle of economic participation to better understand the impact of a positive net surplus on the viability of the co-operative movement.
5. References
Bel Durán, P. (1997) Las cooperativas agrarias en España. Análisis de los flujos financieros y de la concentración empresarial. Valencia: CIRIEC-España.
Belloc, F. (2017) What deters labor-owned firm creation? Evidence from Italian manufacturing sectors. Journal of Comparative Economics, Nº 45, pp. 139-153.
Ben-Ner, A. (1984) On the Stability of the Cooperative Type of Organization. Journal of Comparative Economics, Nº 8, pp. 247-260.
Birchall, J. (2014) The governance of large co-operative businesses. A research study for co-operatives UK. Co-operatives UK: Manchester.
Bonin, J., Jones, D. and Putterman, L. (1993) Theoretical and empirical-studies of producer cooperatives - will ever the twain meet. Journal of Economic Literature, Nº 31, Vol. 3, pp.1290-1320.
Bretos, I. y Marcuello, C. (2017) Revisiting Globalization Challenges and Opportunities in the Development of Cooperatives. Annals of Public and Cooperative Economics, Nº 88, Vol. 1, pp. 47–73.
Burdin, G. and Dean, A. (2009) New evidence on wages and employment in worker cooperatives compared with capitalist firms. Journal of Comparative Economics, Nº 37, Vol. 4, pp. 517-533.
Cabaleiro-Casal, M. J. and Iglesias-Malvido, C. (2016) La utilidad del excedente para el análisis de la información financiera en las sociedades cooperativas. REVESCO. Revista de Estudios Cooperativos, Tercer Cuatrimestre, Nº 122, pp. 34-58. DOI: 10.5209/REVE.52985.
Craig, B. and Pencavel, J. (1993) The objectives of worker cooperatives. Journal of Comparative Economics, Nº 17, Vol. 2, pp. 288-308.
Domar, E. (1966) Soviet collective farm as a producer cooperative. The American Economic Review, Nº 56, Vol. 4, pp. 734-757.
Dow, G. K. (2018) The Theory of the Labor-Managed Firm: Past, Present, and Future. Annales de L'Économie Publique, Sociale et Coopérative, Nº 89, Vol. 1, pp. 65-86.
Estrin, S. and Perotin, V. (1987) Producer cooperatives: the British experience. International Review of Applied Economics, Nº 1, Vol. 2, pp. 152-175.
Furubotn, E. G. (1976) The long-run analysis of the labor-managed firm: An alternative interpretation. The American Economic Review, Nº 66, Vol. 1, pp. 104-123.
Gagliardi, F. (2009) Financial development and the growth of cooperative firms. Small Business Economics, Nº 32, pp. 439-464.
Hansmann, H. (1988) Ownership of the firm. Journal of Law, Economics & Organization, Nº 4, Vol. 2, pp. 267-304.
Hart, O. and Moore, J. (1998) Cooperatives versus outside ownership. National Bureau of Economic Research Working Paper 6421. Cambridge.
Jensen, M. and Meckling, W. (1979) Rights and production functions: An application to labor-managed firms and codetermination. The Journal of Business, Nº 52, Vol. 4, pp. 469-506.
Kahana, N. and Nitzan, S. (1989) More on alternative objectives of labor-managed firms. Journal of Comparative Economics, Nº13, pp. 527-538.
Kalmi, P. (2013) Catching a wave: the formation of co-operatives in Finnish regions. Small Business Economics, Nº 41, pp. 295-313.
Lambert, P. (1975) La doctrina cooperativa. Intercoop. Buenos Aires.
Lasserre, G. (1980) El hombre cooperativo. Intercoop: Buenos Aires.
Marcuello Servós, C. and Nachar Calderón, P. (2013) La Sociedad Cooperativa: Motivación y Coordinación. Un análisis desde las teorías económicas de la empresa y la economía social. REVESCO. Revista de Estudios Cooperativos, Primer Cuatrimestre, Nº110, pp. 192-22. DOI: 10.5209/rev_REVE.2013.v110.41440.
Meade, J. E. (1972) The theory of labour-managed firms and of profit sharing. Economic Journal, Nº 82, Vol. 325, pp. 402-428.
Morales Gutiérrez, A. C. (1996) Ineficiencias del mercado y eficacia de las cooperativas. Valencia: CIRIEC-INFES.
Mozas Moral, A. (2002) La participación de los socios en las cooperativas agrarias: Una aproximación empírica. CIRIEC-España, Revista de Economía Pública, Social y Cooperativa, Nº 40, pp. 165-194.
Navarra, C. (2016) Employment stabilization inside firms: An empirical investigation of worker cooperatives. Annales de L'Économie Publique, Sociale et Coopérative, Nº 87, Vol. 4, pp. 563-585.
Pencavel, J., Pistaferri, L. and Schivard, F. (2006) Wages, Employment and Capital in Capitalist and Worked-Owned Firms. Industrial and Labor Relations Review, Nº60, pp. 23-44.
Pencavel, J. (2015) The labor supply of self-employed workers: The choice of working hours in worker co-ops. Journal of Comparative Economics, Nº 43, pp. 677-689.
Pérotin, V. (2015) What do we really now about Workers' Cooperatives. ILO_ICA Research Conference on Cooperatives and the World of Work, 9-10 November 2015, Antalya (Turkey).
Vanek, J. (1970) The General Theory of Labour-Managed Market Economies. Cornell University Press: Ithaca.
Ward, B. (1958) The firm in Illyria - market syndicalism. The American Economic Review, Nº 48, Vol. 4, pp. 566-589.
Thanks to:
We would like to thank RGEAF and ECOBAS of the University of Vigo for the support provided for carrying out our research work.
[1] Universidade de Vigo, España
Dirección de correo electrónico: mcasal@uvigo.es
[2] Universidade de Vigo, España
Dirección de correo electrónico: calu@uvigo.es
[3] Universidade de Vigo, España
Dirección de correo electrónico: romartinez@uvigo.es
[4] Diminishing returns discourage new membership. It compensates to hire new workers that receive a salary equivalent to marginal productivity, as presented in the WDV model.
[5] The total amount contributed by the members is not necessarily equal to the total asset. The coop may also finance their assets with the retained earnings, which do not individually belong to partners.
[6] In other words, X now includes technology that is available to all firms, regardless of their organizational form.
[7] If the partner decides to work independently, income function would contain neither the positive nor the negative impact of the cooperation. The term a would be one and β woud be zero. Then, incomes for not cooperating would simply arise from individual productivity and capital contribution ki. The result is a Leontief production function and the economy presents constant returns to scale. Any firm may enter the market by replicating the same technology. The final supply will depend on the market prices.
[8] The point nL may or may not be equal to the turning point. This will depend on each co-op’s decision concerning fair income.
[9] Law establishes a minimum mandatory reinvesment percentage over economic surplus (30 per cent), while the remainder may be used to compensate partners for their participation in the activity, regardless of their financial contribution.
[10] This is the discussion between the English and French schools in the 19th century. According to the former, worker cooperatives were entitled to obtain surplus. However, the French school believed worker cooperatives had to be subordinated to consumer cooperatives and surplus appropriated by the consumer through reduced prices.