ISSN: 1885-8031
https://dx.doi.org/10.5209/REVE.69184
El reto de mantener los principios de la economía social a largo plazo: el caso de TUSGSAL
Valeria Bernardo[1]
,
Ismael Hernández Adell[2]
y Eloi Serrano Robles[3]![]()
Recibido: 25 de mayo de 2022 / Aceptado: 29 de julio de 2022 / Publicado: 27 de febrero de 2023
Resumen. Las organizaciones de la economía social se encuentran en un momento importante desde el punto de vista económico y social. Nuevos modelos de negocio, el papel de la innovación, la atención a los grupos de interés, el impacto social y ambiental, así como el sistema de gobernanza resultan centrales para poder consolidarse y aportar valor a su entorno externo e interno. En el ámbito interno resulta particularmente relevante prestar la atención necesaria a las personas y la puesta en valor de los principios que caracterizan a la economía social y que motivaron la creación de la organización. En este sentido, la autogestión de las empresas propiedad de los trabajadores está estrechamente ligada a la capacidad de integrar los principios de la economía social en la organización. La comprensión y adopción, por parte de los integrantes de la empresa de dichos principios resulta determinante para su buen funcionamiento y viabilidad. A pesar de ello, con el paso del tiempo, la integración de los principios de la economía social puede sufrir distorsiones, y con ello, generar tensiones que afecten negativamente a la organización. El presente artículo infiere sobre algunas de las variables que pueden incidir en la eventual pérdida de esa concepción, como son la antigüedad, el género o el colectivo profesional dentro de la empresa. Para ello, se realiza un estudio de caso en la sociedad laboral TUSGSAL mediante una encuesta y grupos focales que aporta nuevas evidencias al debate de la gestión de las empresas propiedad de los trabajadores y trabajadoras.
Palabras clave: Economía social; Autogestión; Principios cooperativos; Sociedad laboral; Gobernanza; Tesis de la degeneración.
Claves Econlit: B55; J54.
[en] The challenge of maintaining social economy principles over the long term: the case of TUSGSAL
Abstract. Social economy organisations are at an important moment from an economic and social point of view. New business models, the role of innovation, attention to stakeholders, social and environmental impact, as well as the governance system are central to consolidate and add value to their external and internal environment. Internally, it is particularly important to pay the necessary attention to the people and the social economy principles that motivated the creation of the organisation. In this sense, the self-management of worker-owned companies is closely linked to the capacity to integrate social economy principles into the organisation. The understanding and adoption of these principles by the members of the company is a key factor for its good performing and viability. However, over time, the integration of social economy principles can become distorted and thus generate tensions that negatively affect the organisation. This article looks at some of the variables that can affect the eventual loss of this concept, such as seniority, gender, or the professional group within the company. To this end, a case study is carried out in the labour company TUSGSAL by means of a survey and focus groups that provide new evidence to the debate on the management of worker-owned companies.
Keywords: Social economy; Self-management; Cooperative principles; Labour society; Governance; Degeneration thesis.
Sumario. 1. Introducción. 2. Marco teórico. 3. El caso de estudio: TUSGSAL. 4. Metodología. 5. Resultados. 6. Discusión y conclusiones. 7. Referencias bibliográficas.
Cómo citar. Bernardo, V., Hernández Adell, I. & Serrano Robles, E. (2023). El reto de mantener los principios de la economía social a largo plazo: el caso de TUSGSAL. REVESCO. Revista de Estudios Cooperativos, 1(143), e69184. https://dx.doi.org/10.5209/reve.69184.
Las sociedades laborales son empresas que de acuerdo con la ley española forman parte del conjunto de organizaciones que constituyen la economía social, junto a cooperativas, mutualidades, fundaciones y otras entidades de carácter social (CEPES, 2021; Ley 5/2011 de Economía Social). A pesar del uso cada vez más extendido del concepto de economía social, lo cierto es que no existe un consenso académico internacional sobre la definición de este espacio de la economía. El hecho común es que se trata en todos los casos de entidades privadas con personalidad jurídica propia, de carácter libre y voluntario, con procesos de decisión democrática y creadas para satisfacer y resolver necesidades de individuos o colectivos específicos (Chaves y Monzón, 2018: 10-16).
Para el conjunto de organizaciones de la economía social la adaptación al entorno económico, las nuevas tendencias y necesidades sociales, así como los nuevos retos derivados de la globalización obliga a estas organizaciones a idear nuevos modelos de negocio, potenciar la innovación, fomentar las colaboraciones con todos los grupos de interés, asegurar el empleo o aportar valor a su entorno interno y externo. Es más, la naturaleza de estas organizaciones las sitúa en una posición destacada con respecto al crecimiento económico sostenible, el respeto medioambiental y el progreso social que impulsan los principales gobiernos e instituciones internacionales, como por ejemplo los Objetivos de Desarrollo Sostenible impulsados por Naciones Unidas. De hecho, las organizaciones de la economía social ya estarían contribuyendo en áreas como: la generación de empleo e integración de grupos excluidos; el acceso a una educación de calidad; la igualdad de género; el consumo y la producción responsables; la lucha contra el cambio climático; la salud y el bienestar; o la disminución de las desigualdades sociales (CEPES, 2020; ILO, 2014).
Recientemente, las instituciones europeas también han señalado la economía social como un sector central de su estrategia de crecimiento. A inicios de 2021 la Comisión Europea abrió el periodo de consultas y participación para diseñar el ‘European Action Plan for the social economy’ del periodo 2021-2026 (European Comission, 2021). Social Economy Europe, como principal entidad que representa los intereses de las empresas europeas de economía social, ha desarrollado una propuesta para este plan que, entre otros ejes de actuación, plantea mejorar la visibilidad de las empresas y organizaciones de la economía social mediante el conocimiento y difusión de sus características y valores (Social Economy Europe, 2021). Ciertamente, resulta necesario potenciar la visibilidad de aquellas empresas y organizaciones que funcionan en base a criterios de economía social.
Sin embargo, existen organizaciones que no son plenamente conscientes de cumplir con características propias de la economía social, que desconocen el significado de ser una organización de la economía social o que sus miembros no son conscientes de pertenecer a una empresa de economía social. Desde nuestro punto de vista, este es un aspecto que las organizaciones deben trabajar para mejorar su posicionamiento en el mercado, pero también para potenciar su impacto en el entorno, mejorar las relaciones con todos los grupos de interés y sobre todo mejorar la gobernanza interna y la participación de sus miembros.
Es por esta razón que, desde una perspectiva microeconómica, las organizaciones de la economía social deben prestar una atención especial a la visualización interna y externa de sus particularidades y evitar la degradación de aquellos criterios que inspiraron su creación. En este punto, resulta relevante que las organizaciones que desde el punto de vista jurídico ya pertenecen a la economía social recuperen sus valores originarios y sean conscientes de su potencial para los nuevos retos económicos y sociales.
La autogestión de las entidades de la economía social esta íntegramente ligada a la capacidad de integrar los principios de la economía social en el conjunto de la organización. La comprensión y adopción, por parte de los integrantes de la empresa, de dichos principios resulta determinante para su buen funcionamiento y viabilidad. A pesar de ello, con el paso del tiempo, los criterios y valores que crearon la organización de economía social pueden verse distorsionados, y con ello, generar tensiones que afecten negativamente a la organización. El presente artículo explora la capacidad de los miembros de una sociedad laboral de percibir características de la economía social en su empresa. Mediante un estudio de caso, se ha investigado si aspectos relacionados con la antigüedad del miembro, el género o la función operativa dentro de la empresa son variables significativas en esa percepción. Con esto, el artículo aporta nuevas evidencias sobre las variables que pueden influir en la pérdida de los principios que originaron la creación de la organización de economía social.
Los resultados pueden representar una fuente valiosa para determinar las políticas orientadas a fomentar una cultura corporativa de las organizaciones de la economía social, que presentan la democracia como norma de comportamiento y característica diferencial con el resto de las unidades económicas (Dulfer y Hamm, 1985; Giroux, 1990; Rothschild y Whitt, 1986; Buendía, 2000). En este sentido, el artículo defiende la necesidad de potenciar y visibilizar los principios que orientan a la economía social como base de viabilidad, durabilidad e impacto positivo en el entorno de sus organizaciones.
El artículo está organizado en seis apartados. Tras la introducción, el segundo discute el concepto de economía social y sus características definitorias, así como las principales aportaciones teóricas sobre el cumplimiento de los principios de la economía social en las organizaciones y los factores que intervienen en la degradación o mantenimiento de aquellos principios. El tercero sitúa el caso de la empresa TUSGSAL y sus principales características como empresa social. El cuarto describe detalladamente la metodología utilizada. El quinto presenta los resultados de la investigación. Finalmente, el sexto apartado recoge y discute las principales conclusiones de la investigación y apuntar algunas acciones destinadas a mejorar y reforzar las empresas sociales a la luz de los resultados obtenidos.
2. Marco teórico
Economía Social es un concepto que ya tiene un recorrido importante pero que los últimos años ha vivido un incremento de su notoriedad mediática. Sin embargo, a diferencia del sector cooperativo que cuenta con unos principios claramente definidos y compartidos a nivel internacional (ICA, 2022), la definición y los principios de la economía social no están ampliamente consensuados. Chaves y Monzón (218:10) hacen referencia a aquellas organizaciones privadas creadas por las personas para dar respuesta a sus propias demandas sociales, a sus problemas sustantivos y a sus aspiraciones sociales. En línea con esta definición, y más allá de la forma jurídica, las entidades de la economía social compartirían las siguientes características: primacía de las personas y del objetivo social por encima del capital; control democrático por parte de los miembros (excepto en las fundaciones); la mayoría de los excedentes se utilizan en favor de objetivos de desarrollo sostenible, servicios de interés para los miembros o el interés general; adhesión voluntaria y abierta; defensa y aplicación de los principios de solidaridad y de responsabilidad; autonomía de gestión e independencia respetas de los poderes públicos (CEPES, 2021; Social Economy Europe, 2021). De hecho, la forma jurídica de las organizaciones que conforman la economía social es diversa y forman parte tanto las cooperativas y sociedades laborales como las mutualidades, las fundaciones o las asociaciones. El hecho común es que se trata en todos los casos de entidades privadas con personalidad jurídica propia, de carácter libre y voluntario, con procesos de decisión democrática y creadas para satisfacer y resolver necesidades de individuos o colectivos específicos y no para retribuir los capitales invertidos por socios o socias capitalistas.
En el caso particular de las sociedades laborales en España, la legislación establece que sus principios son: a) Promoción del acceso de los trabajadores al capital social y/o a los resultados de la empresa; b) Fomento de la participación de los trabajadores en la toma de decisiones de la sociedad; c) Promoción de la solidaridad interna y con la sociedad que favorezca el compromiso con el desarrollo local, la igualdad de oportunidades entre hombres y mujeres, la cohesión social, la inserción de personas en riesgo de exclusión social, la generación de empleo estable y de calidad, la conciliación de la vida personal, familiar y laboral y la sostenibilidad. (Ley 44/2015, de 14 de octubre, de Sociedades Laborales y Participadas). Es decir, la legislación recoge para las sociedades laborales algunos principios que coinciden con las entidades de la economía social.
De acuerdo con esta misma la ley, las sociedades laborales representan una forma de organización auto gestionada en el que el trabajo predomina sobre el capital en la toma de decisiones, ya que la mayoría del capital social debe ser propiedad de trabajadores y trabajadoras que presten servicios con un contrato indefinido (Ley 44/2015, de 14 de octubre, de Sociedades Laborales y Participadas). En este caso, la autogestión se asimila a la gestión democrática. La tenencia de la propiedad compartida y colectiva supone, de forma indudablemente implícita, asumir la democracia como método básico en la fijación de objetivos, toma de decisiones y evaluación de resultados (Correa-Garcia, Gómez y Londoño, 2018). Asimismo, la gobernanza democrática tiene su lógica en equilibrar el riesgo económico y la contribución al proceso productivo (Buendía, 2000). Para una buena gobernanza, el compromiso de los miembros de la organización es esencial y, es en este sentido que el nivel de participación es un indicativo relevante sobre el grado de implicación de los integrantes y el grado de democracia en la empresa (Breton y Cote, 1995; Deetz, 1995; Wheeler y Sillanpaa, 1997). La democracia y la autogestión requieren de un amplio compromiso por parte de los actores implicados. Con carácter general, la total involucración de los socios se convierte en condición indispensable para el mantenimiento de la equidad en la toma de decisiones (Buendía, 2000).
Sin embargo, atender a estos diferentes principios no resulta una tarea fácil para las organizaciones de la economía social. A partir del estudio del sector cooperativo la tesis de la degeneración vino a teorizar lo que la observación empírica venía mostrando desde principios del siglo XX: las cooperativas tenían serias dificultades para sobrevivir a largo plazo y las que lo hacían perdían buena parte de su espíritu cooperativista (Bretos, Errasti y Marcuello, 2020: 437-438). A partir de la observación de casos y en base a las causas identificadas en el origen de la degeneración, los investigadores han identificado tres dinámicas degenerativas en el ámbito cooperativo pero que bien pueden aplicarse al conjunto de las organizaciones de la economía social: constitucional, organizacional y cultural (o de objetivo) (Cornforth, Thomas, Spear y Lewis, 1988).
La degeneración constitucional consiste en la adopción de formas de organización propias de la empresa mercantil que implican la exclusión de los empleados de los derechos y beneficios como miembros de la cooperativa. Esta tendencia puede justificarse por fuerzas externas (el contexto comercial) o presiones internas que quieren profesionalizar las estructuras de gobierno y el modelo de gerencia con el fin de mejorar el rendimiento de la organización (Chaves y Sajardo, 2004; Meliá, Carnicer y Juliá, 2017). Un síntoma de esta degeneración sería el distanciamiento de la organización de la economía social respecto a los principios que llevaron a su constitución. Ya en la década de 1920 Beatrice Webb observó que las cooperativas que sobrevivían habían degenerado por razones como la ocupación de un número creciente de trabajadores externos, la concentración de poder en los gerentes, la venta de una parte de la compañía a inversores externos o la marginación de miembros de la cooperativa de los órganos de decisión (Storey et al., 2014: 628). Más recientemente, diversas investigaciones apuntan precisamente a todo aquello relacionado con las relaciones laborales dentro de las empresas sociales como causa de su degeneración constitucional. Es decir, los conflictos entre fundadores y no fundadores, las restricciones que se imponen a la entrada de nuevos socios, la contratación de trabajadores temporales sin derecho a ser miembros, la subcontratación de actividades o la contratación de empresas capitalistas con peores condiciones de trabajo (Coque, López y Loredo, 2012: 103-104; y Bretos y Errasti, 2016: 10-15).
La degeneración organizacional consiste en el control de la organización por parte de una élite tecnocrática en detrimento de una mayor implicación de todos los miembros de la organización en la toma de decisiones. La literatura ha puesto énfasis en cómo los sistemas de gobernanza determinan en buena parte la identificación de las organizaciones con los principios de la economía social especialmente cuando se comparan a las empresas capitalistas, una cuestión ampliamente estudiada en el caso de las cooperativas (Cornforth, 2004). Entre aquellos principios destaca especialmente el principio democrático que supone la consulta de los socios y socias, la distribución de información, la transparencia y la aplicación de los principios de la economía social en las operaciones cotidianas de la organización (Belategi, Gago y Egaña, 2019; Chaddad and Iliopoulos, 2013; Cheney, Santa Cruz, Peredo y Nazareno, 2014; Heras-Saizarbitoria, 2014; Ridley-Duff, 2010; Storey, Basterretxea y Salaman, 2014). Sobre este aspecto, Larrañaga (2014:83) describió el proceso de reflexión interna de Mondragón Corporación Cooperativa, cuando en 2007 sus máximos órganos de dirección alertaron sobre el alejamiento de la cooperativa ‘de lo que es la esencia de la Experiencia’ y abrieron un debate para abordar esta situación del que resultó entre otras cuestiones la necesidad de profundizar la participación dentro de la cooperativa dado que ésta fue ‘creada por y para las personas’. En este sentido, a partir del estudio de empresas cooperativas Cheney et al. (2014: 596) señalan que uno de los desafíos es mejorar su capacidad para la reinvención de la democracia interna, incluidos los medios para gestionar y resolver conflictos entre diferentes objetivos, sectores y colectivos.
La degeneración cultural o de objetivo hace referencia al predominio de objetivos como el crecimiento o los beneficios y la pérdida de metas de carácter social. De nuevo los estudios sobre la empresa cooperativa son los que más evidencias aportan sobre esta cuestión. Parece que el aumento de tamaño y el éxito económico de la organización está relacionado con la pérdida de la consciencia y los valores sociales, provocando una pérdida del espíritu social inicial (Bakaikoa, Errasti y Beguiristain, 2004; Chaves y Sajardo, 2004; García y Gutiérrez, 1990; Pedrosa y García, 2011; Storey et al., 2014: 628-631). Con respecto a esta cuestión Larrañaga (2014) recoge los resultados del debate interno en Mondragón Corporación Cooperativa que apuntaron también al reconocimiento de pérdida de identidad cooperativa, la necesidad de desarrollar acciones para potenciar las señas de identidad de la organización y recuperar el espíritu transformador del proyecto cooperativista.
De acuerdo con lo anterior, la observación de casos ha permitido que la tesis de la degeneración se figure como un ciclo de cuatro fases (Bretos, Errasti y Marcuello, 2020: 437-438; Meister, 1974 y 1984, citado en Storey et al., 2014: 631). La primera estaría caracterizada por un elevado idealismo y participación en detrimento de la actividad productiva, mientras que la segunda fase se ocuparía de definir principios organizativos y reforzar el papel de la gestión a costa de una menor implicación de los socios. En la tercera fase los principios cooperativistas se subordinan a los objetivos económicos a la vez que la democracia interna se vería seriamente deteriorada. La cuarta fase representaría la culminación del proceso por el que los gerentes asumen el control absoluto de la organización. Sin embargo, algunos autores han planteado la capacidad de las empresas sociales para regenerarse y sostener su actividad en el largo plazo revisando y potenciado sus principios sociales (Bakaikoa, Etxezarreta y Morandeira, 2013). De hecho, partiendo del modelo de fases descrito anteriormente se ha propuesto una quinta fase dónde la empresa realiza un replanteamiento y por tanto regenera el conjunto de la organización, se reconoce el declive democrático y se establecen acciones para la revitalización social de la organización (Batstone, 1983, citado en Storey et al., 2014: 631; Bretos, Errasti y Marcuello, 2020; Pansera y Rizzi, 2020). Es más, otras investigaciones recientes apuntan a que las tendencias degenerantes, así como las regeneradoras pueden darse al mismo tiempo, de manera que se generan escenarios difíciles de resolver en los que permanentemente debe gestionarse estas tendencias antagónicas (Bretos, Errasti y Marcuello, 2020: 452-455).
En definitiva, el mantenimiento de los principios de la economía social dentro de las organizaciones representa un reto central en su gestión y gobernanza. Si bien la mayor parte de las evidencias recogidas en la literatura hacen referencia a empresas cooperativas, lo cierto es que las experiencias del sector cooperativo representan un referente para el conjunto de organizaciones de la economía social, especialmente para aquellas en las que los trabajadores tienen el control directo de la propiedad de la empresa como es el caso de las sociedades laborales.
De hecho, conocer el nivel de conocimiento de los principios de la economía social por parte de los miembros de la organización representa el primer paso hacia el replanteamiento de la organización y tomar así las medidas necesarias para garantizar la supervivencia de la organización sin renunciar a los principios sociales que justificaron su creación.
3. El caso de estudio: TUSGSAL
La sociedad anónima laboral TUSGSAL está situada en Badalona ciudad del área metropolitana de Barcelona. Su historia comenzó en 1985 cuando 117 empleados de la empresa TUSA (Transportes Urbanos, S. A.) constituyeron una nueva empresa para poder seguir prestando los servicios que ofrecía la antigua empresa capitalista. En aquel momento se trató de lo que se dio a conocer como una recuperación de empresa por parte de los trabajadores, ya que se constituyó como sociedad laboral y los trabajadores entraron como propietarios directos de una parte del capital de la nueva empresa. Ante el cierre o el abandono del negocio por parte de los antiguos propietarios los trabajadores se organizaron para, sobre todo, mantener la actividad y garantizar los puestos de trabajo. Después de diversos cambios, en 1999 la empresa se denominó finalmente Transportes Urbanos y Servicios Generales, S.A.L. (TUSGSAL).
Hasta 1992 la empresa se dedicó exclusivamente al transporte urbano. A partir de aquel año la empresa siguió una estrategia de diversificación mediante la incorporación de otras actividades, si bien el transporte urbano regular ha continuado siendo la principal actividad de la compañía y la que más personas emplea. Esta actividad se materializa en la ejecución del servicio de dos concesiones del Área Metropolitana de Barcelona, una sobre la red diurna de autobuses del Barcelonés Norte, Montgat y Tiana, y otra sobre una parte de la red nocturna de autobuses de Barcelona y su área metropolitana. Entre ambas concesiones, TUSGSAL gestiona un total de 43 líneas de autobús y ofrece servicio a 2,6 millones de personas.
Entre las actividades diversificadas se encuentra la publicidad y la impresión digital con la empresa Teletransfer (creada en 1992) y el transporte sanitario con la creación del Consorcio del Transporte Sanitario de la Región de Girona en 1995 o la participación mayoritaria en Nuevas Ambulancias Soria a partir de 2006. En 2005 creó la empresa de servicios informáticos Sortsytems y en 2013 TUSGSAL adquirió CINESI, empresa de consultoría estratégica en el ámbito de la movilidad y el transporte.
La diversificación de la empresa se ha acompañado de una estrategia de crecimiento en la actividad del transporte regular. En 2008 TUSGSAL lograba la concesión del servicio de autobús entre el centro de Barcelona y el aeropuerto (Aerobús) y con la adquisición del grupo TG en 2016 logró ampliar el radio de actividad al transporte comarcal en la provincia de Barcelona. En 2017, constituyó la empresa Operadors de Mobilitat Balear para la prestación de servicio escolar en la isla Mallorca.
Los ingresos de la empresa han registrado un crecimiento continuado a lo largo de los últimos 20 años desde los 23,7 millones de € del año 2000 hasta los 70,9 millones de € de 2020 (SABI, 2021). Asimismo, durante el mismo periodo de tiempo el número de empleados ha pasado de 480 a cerca de 1.000. La mayoría de las personas empleadas (95%), están vinculadas a la actividad del transporte urbano regular (conductores y personal de administración y taller). Sin contar los transportes comarcal, sanitario y escolar, TUSGSAL dispone de una flota de 277 vehículos y transporta a más de 39 millones de personas anualmente (TUSGSAL, 2019).
Desde 2009, la empresa ha realizado un fuerte esfuerzo en certificar diferentes ámbitos de la empresa. TUSGSAL tiene certificaciones que acreditan la calidad del servicio, la seguridad y la salud de las personas y la sostenibilidad ambiental. La empresa ha desarrollado acciones para garantizar la transparencia, como el código de ética corporativa o la presentación detallada de la información económica y financiera en la memoria anual (TUSGSAL, 2019).
Finalmente, la Figura 1 muestra el porcentaje de trabajadores y trabajadoras de la empresa que son socias de la empresa. Esta es una cuestión importante en una sociedad laboral ya que la ley indica que “el número de horas-año trabajadas por los trabajadores contratados por tiempo indefinido que no sean socios no sea superior al cuarenta y nueve por ciento del cómputo global de horas-año trabajadas en la sociedad laboral por el conjunto de los socios trabajadores” (Ley 44/2015). Como se puede comprobar la empresa ha cumplido sobradamente con este requisito legal de forma holgada, de manera que en el último año los datos muestran que el 89% de la plantilla eran socios y socias accionistas de la empresa.
Figura. 1. Porcentaje de trabajadores/as que son socios/as de la empresa sobre el total.

Fuente: elaboración propia con los datos ofrecidos por la empresa.
4. Metodología
Para conocer el grado de conocimiento de la economía social entre los empleados de TUSGSAL, se utilizaron los siguientes datos e información (1) los resultados de una encuesta de dieciséis preguntas a los empleados; y (2) cuatro grupos focales (focus group) con empleados de la empresa.
La encuesta consta de 16 preguntas (Tabla 3), todas ellas siguiendo una escala Likert con valores entre 0 y 4. Los valores se distribuyen de la siguiente manera con respecto a la afirmación planteada: 0, muy en desacuerdo; 1, en desacuerdo; 2, ni de acuerdo ni en desacuerdo; 3, de acuerdo; 4, muy de acuerdo. Los trabajadores tienen la opción de dejar la pregunta en blanco cuando consideran que no tienen una opinión clara.
Las preguntas son una adaptación a las necesidades de la empresa TUSGSAL en base al sistema de análisis de la responsabilidad social de las empresas de la economía cooperativa de Cataluña inspirado en el Global Reporting Initiative (RSECOOP, 2021) y a la prueba de la economía del bien común de 27 preguntas desarrollado por Thomas Haderlapp (ECOGOOD, 2021). Como la finalidad de estas herramientas es evaluar el nivel de cumplimiento de una serie de criterios, el presente trabajo ha adaptado estas variables para plantear una serie de cuestiones sobre el nivel de conocimiento que tienen los trabajadores sobre los principios que caracterizan a una empresa de economía social. Estos principios hacen referencia a los ámbitos de la gobernanza (gestión democrática), la calidad del empleo (satisfacción con el puesto de trabajo), la justicia social (participación de los beneficios), la sostenibilidad (medidas medioambientales) y el compromiso social (impacto en el entorno). En la encuesta también se pidió a los trabajadores que respondieran sobre el grupo profesional al que pertenecen, la antigüedad en la empresa y el género.
La encuesta se realizó durante los meses de noviembre de 2019 a febrero de 2020 (el detalle de las preguntas realizadas y el orden están disponibles en el Anexo 1). Los trabajadores fueron invitados a responder la encuesta en un formulario online que recibieron por correo electrónico y teléfono móvil. La encuesta fue enviada en ambos canales por un responsable del departamento de recursos humanos de la empresa TUSGSAL.
La encuesta fue realizada a los trabajadores vinculados al transporte urbano, principal actividad de la empresa y que ocupa a 940 trabajadores. El número de respuestas válidas a la encuesta fue de 211, lo que significa que el 22,4% de los trabajadores respondieron a la encuesta. Dado el índice de respuesta, se llevaron a cabo dos procedimientos para comprobar la representatividad de las respuestas obtenidas.
En primer lugar, se presentó la preocupación de tener resultados sesgados por falta de respuestas, conocido en la literatura como sesgo de respuestas, que se presenta cuando los encuestados son diferentes de los que no respondieron o respondieron tarde en una población determinada. En este sentido, existen diversos métodos en la literatura diseñados para disminuir el sesgo. El adoptado en el presente estudio es conocido como de “olas sucesivas” (Armstrong y Overton, 1977; Lindner, Murphy y Briers, 2001). La idea subyacente de este método es que supone que las personas que responden en oleadas posteriores a un cuestionario, han respondido debido al aumento de estímulos para realizarla. Se espera que estas últimas sean similares a los que no responden y, en este sentido, las respuestas podrían extrapolarse a quienes no respondieron. Según lo presentado por Armstrong y Overton (1977), una técnica para definir operativamente a los que respondieron tarde se basa en las respuestas generadas por oleadas sucesivas de un cuestionario. En el caso del presente estudio, hay un primer grupo que responde al abrirse la encuesta entre el 28 de noviembre de 2019 y el 9 de diciembre del mismo año, y, un segundo grupo que lo hace, debido a un recordatorio y segunda petición, entre el 20 de enero de 2020 y el 12 de febrero. El segundo grupo, siguiendo la metodología citada, sería representativo de quienes no han respondido.
En segundo lugar, se realizó una prueba de chi-cuadrado para testear si la distribución de los encuestados por colectivo y género era representativa de la distribución total de la empresa. En este caso, la prueba de Chi-cuadrado testea la hipótesis nula de que no hay diferencias significativas entre las distribuciones de la muestra y de la población total.
Para identificar la conciencia de los empleados sobre el cumplimiento de los principios de la economía social, se desarrollan dos análisis complementarios. En primer lugar, se realiza un análisis estadístico. En él, se presenta el análisis descriptivo y un box plot por pregunta, para identificar las medidas centrales y de dispersión por pregunta y cómo se distribuyen las respuestas. A continuación, se presentan un box plot por pregunta y antigüedad, otro por pregunta y género, y un tercero, por pregunta y colectivo, para ver si hay diferencias observables por grupo. En un box plot, los extremos de las cajas muestran el primer y el tercer cuartil, es decir, en qué punto se encuentran el 25% y el 75% de las respuestas, respectivamente. La diferencia entre el tercer y el primer cuartil muestra el rango intercuartil o grado de dispersión de los datos. Asimismo, la línea marcada indica la mediana, o el valor en el que se encuentra el 50% de los datos tanto hacia arriba como hacia abajo. Por último, las líneas que conectan con la caja muestran los extremos inferior y superior de la distribución (en este caso sólo las líneas del extremo inferior), y los puntos muestran los datos atípicos o "outliers". Por lo tanto, al utilizar los gráficos de caja, podemos observar toda la distribución de las respuestas por pregunta, antigüedad, género y colectivo.
En segundo lugar, realizamos un análisis econométrico, para identificar si las diferencias en las respuestas pueden deberse a las diferencias de antigüedad y género de los encuestados. En tal sentido, evaluamos si el grado de acuerdo o desacuerdo con las afirmaciones sigue una relación casual con el colectivo, el género y la antigüedad en la empresa de los encuestados. Así, al contar con un dato de escala Likert como variable dependiente, que va de 0 (completamente en desacuerdo) a 4 (completamente de acuerdo), se realiza una estimación logit ordenada por pregunta. Estimamos la siguiente ecuación:
![]()
Donde yi es la percepción
del individuo i a la afirmación presentada (de 1 a 16), que va de 0 (si el
individuo i está completamente en desacuerdo con la afirmación) a 4 (si está
completamente de acuerdo);
representa los años de antigüedad que el empleado i
tiene en la empresa. Se incluye como una variable ficticia con 4 valores
posibles, de menos de 5 años, de 5 a 10 años, de 10 a 20 años, y, más de 20
años.
, es una variable ficticia que toma 0 cuando el
encuestado i es un hombre, y, 1 si es una mujer;
es una variable ficticia que toma cuatro valores
diferentes: Administración, Mantenimiento, Tráfico y, Taller; finalmente,
es el término de error.
A nivel metodológico, hemos completado la investigación con la realización de cuatro grupos focales con miembros de TUSGSAL. Un grupo focal es una forma de investigación cualitativa en la que se pregunta a un grupo de personas sobre sus percepciones, opiniones, creencias y actitudes hacia un producto, servicio, concepto, anuncio, idea o envase (Morgan, 1997). En esta investigación, se realizaron cuatro grupos focales, uno por cada grupo, cada uno con ocho participantes y dos moderadores. La formación de los grupos según el grupo fue propuesta por la empresa para organizar mejor las sesiones de trabajo, facilitar el diálogo entre los participantes y fomentar la confianza creando grupos que ya se conocen. Las sesiones duraron entre 75 y 90 minutos.
5. Resultados
5.1. Representatividad de la muestra
La empresa TUSGSAL tiene 940 trabajadores que están organizados en cuatro colectivos: Tráfico, Administración, Taller y Mantenimiento (Tabla 1). El grupo de Tráfico es el más numeroso, con el 80,1% de los trabajadores. Le sigue Administración, con el 9,9% de los trabajadores, Taller, con el 5,4%, y Mantenimiento, con el 4,6%. De los 940 trabajadores, aproximadamente el 88,9% son hombres y el 11,1% mujeres.
La Tabla 1 muestra el número de respuestas por colectivo profesional, junto con el número de trabajadores total de TUSGSAL. Como se puede observar, alrededor del 85% de los encuestados son conductores (colectivo de tráfico), mientras que el restante 15% se reparte entre los colectivos de administración, mantenimiento y taller. Asimismo, se observa la similitud en la distribución de los encuestados y de trabajadores totales por colectivo. En este sentido, la prueba de Chi-cuadrado no arroja diferencias significativas entre la distribución de la muestra y de la población en términos de colectivos. Con un estadístico chi= 3.33 y una probabilidad Pr= 0.3434, no podemos rechazar que las distribuciones son iguales.
Tabla. 1. Tamaño de la muestra y población, por colectivo profesional.
|
Colectivo profesional |
N.º de respuestas y participación en porcentaje |
Total de trabajadores TUSGSAL |
|
Tráfico (Operadores/as Bus) |
178 (85.0%) |
753 (80.1%) |
|
Administración |
16 (7.6%) |
93 (9.9%) |
|
Taller (Operarios) |
10 (4.8%) |
51 (5.4%) |
|
Mantenimiento |
6 (2.9%) |
43 (4.6%) |
|
Total |
210 |
940 |
Fuente: elaboración propia. Nota: el número de respuestas válidas es 210.
En cuanto al género, de los 211 encuestados, 189 son hombres (89,6%) y 22 son mujeres (10,4%). La Tabla 2 presenta la distribución de la muestra y del total de trabajadores. En este caso, la prueba de Chi-cuadrado nuevamente no arroja diferencias significativas entre la distribución de la muestra y de la población. Con un estadístico chi= 0.1 y una probabilidad Pr= 0.75 no podemos rechazar que las distribuciones son iguales en términos de género.
Tabla. 2. Tamaño de la muestra y población, por género.
|
Género |
N.º de respuestas y participación en porcentaje |
Total de trabajadores TUSGSAL |
|
Hombres |
189 (89.6%) |
836 (88.9%) |
|
Mujeres |
22 (10.4%) |
104 (11.1%) |
|
Total |
211 |
940 |
Fuente: elaboración propia.
5.2. Resultados de la encuesta
La tabla 3 muestra las estadísticas descriptivas de cada pregunta. Muestra la media obtenida por pregunta, la desviación estándar, el valor mínimo, el valor máximo y el número de respuestas en cada caso.
Tabla 3. Estadística descriptiva de las respuestas a las preguntas.
|
Nº |
Pregunta (p) |
Media |
Desv. Estándar |
Mín |
Máx |
Respuestas |
|
1 |
La empresa gestiona y toma decisiones transparentes y democráticas por el bien común de los socios/as y trabajadores/as. |
3.24 |
0.88 |
0 |
4 |
190 |
|
2 |
La empresa trabaja para que el trabajador/a se sienta estimulado/a en mantenerse en el empleo. |
3.03 |
1.06 |
0 |
4 |
209 |
|
3 |
El bienestar de las personas forma parte de las líneas estratégicas de la empresa y su modelo de gestión. |
3.10 |
0.98 |
0 |
4 |
203 |
|
4 |
La empresa valora a sus empleados, desarrolla proyectos sociales, se preocupa por el medio ambiente e invierte esfuerzos contra la corrupción. |
3.36 |
0.83 |
0 |
4 |
207 |
|
5 |
La empresa tiene en cuenta mecanismos que fortalecen la democracia interna. |
2.98 |
1.02 |
0 |
4 |
191 |
|
6 |
Las actividades de la empresa se basan en los principios de participación, cohesión, transparencia y responsabilidad social. |
3.31 |
0.85 |
0 |
4 |
201 |
|
7 |
La empresa antepone el interés de las personas que trabajan por encima de otros intereses, intentando conjugar proyecto social y conservación de puestos de trabajo con rentabilidad. |
3.07 |
0.94 |
0 |
4 |
198 |
|
8 |
La empresa promueve la solidaridad interna en base a unas políticas de igualdad de oportunidades, cohesión social y conciliación de la vida personal familiar y laboral. |
2.96 |
1.07 |
0 |
4 |
205 |
|
9 |
La mayoría del capital es del conjunto de los socios trabajadores: éstos deben trabajar en forma de contrato indefinido. |
3.69 |
0.59 |
0 |
4 |
194 |
|
10 |
TUSGSAL coopera con otras empresas que proporcionan los mismos productos o servicios. |
3.49 |
0.72 |
1 |
4 |
176 |
|
11 |
La empresa ha implantado criterios responsables en los ámbitos económico, social y medioambiental que se orientan a crear y participar en una sociedad mejor y a contribuir en el desarrollo sostenible. |
3.54 |
0.65 |
1 |
4 |
202 |
|
12 |
La empresa establece alianzas, desarrolla proyectos y colabora con administraciones, instituciones, fundaciones, asociaciones, etc.… en materia de desarrollo sostenible. |
3.51 |
0.66 |
1 |
4 |
188 |
|
13 |
La empresa considera esencial la certificación en Responsabilidad Social Corporativa (RSC) puesto que constituye una oportunidad de mejorar los beneficios y es imprescindible para construir una sociedad más justa y eficiente. |
3.52 |
0.69 |
0 |
4 |
186 |
|
14 |
La empresa establece estratégicamente que se han de asumir políticas de RSC ya que éstas logran que sus empleados mejoren sus condiciones laborales y aumenten su productividad, lo que repercute directa y positivamente en sus cuentas de resultados. |
3.31 |
0.81 |
0 |
4 |
189 |
|
15 |
Las actividades desarrolladas en el marco de la RSC están vinculadas a la vocación de la empresa, lo cual implica un compromiso social de la alta dirección. |
3.37 |
0.71 |
1 |
4 |
172 |
|
16 |
La empresa incorpora la ética a las decisiones económicas diarias basando sus objetivos financieros en una inversión solidaria y social. |
3.41 |
0.70 |
0 |
4 |
175 |
Fuente: elaboración propia.
Se observa que, para casi todas las preguntas, a excepción de las preguntas 5 y 8, la media es superior a 3, lo que muestra una percepción de alto grado de cumplimiento de la condición juzgada, y de conformidad de los trabajadores. Las excepciones son las respuestas a "La empresa contempla mecanismos que refuerzan la democracia interna" (p5) y "La empresa promueve la solidaridad interna basada en políticas de igualdad de oportunidades, cohesión social y conciliación de la vida laboral y familiar" (p8). En estos casos, la media es muy cercana a 3, con valores de 2,98 y 2,96, respectivamente. Asimismo, se observa que los valores mínimos varían entre 0 y 1 en función de la pregunta, indicando en el caso de 0 un total desacuerdo con la premisa planteada. Por último, se puede observar que la tasa de respuesta por pregunta no es del 100%, sino que varía entre el 82% para la pregunta con menor tasa de respuesta (p16) y el 97,7% en el extremo opuesto (p2).
Figura. 2. Diagrama de caja de cada una de las preguntas.

Fuente: elaboración propia.
Siguiendo con el análisis general, en la Figura 2 se presenta un gráfico de cajas por pregunta. Como se observó en las estadísticas descriptivas, existe una notable percepción de cumplimiento de los principios de la economía social por parte de los encuestados. Como puede comprobarse, a excepción de las preguntas 5 y 8, la dispersión de las respuestas para cada pregunta es muy estrecha. Podemos observar que el 75% de las respuestas por pregunta están entre 3 y 4, de acuerdo o totalmente de acuerdo, y que el 25% restante son hasta 2, con un valor atípico de 0 y uno de 1 por pregunta. Esto implica que hay más de un 75% de encuestados que consideran que los principios se cumplen en todas las preguntas menos en 2, y que casi el 100% de los encuestados están entre indiferentes y totalmente de acuerdo. En el caso de las preguntas 5 y 8, se observa una mayor dispersión de respuestas. En este caso, el primer 25% de las respuestas está entre 0 y 2, lo que muestra que el 25% de los trabajadores en estos casos está en desacuerdo o no tiene una percepción positiva o negativa definida.
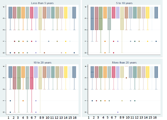
Analizando los datos en función de la antigüedad de los trabajadores, se observa en la Figura 3 que los empleados que están más de acuerdo son los que tienen menos de 5 años en la empresa o los que tienen más de 20 años. Mientras que el 75% de los empleados más antiguos están de acuerdo o totalmente de acuerdo con todas las afirmaciones y un 25% se sitúa entre la indiferencia y el acuerdo, los empleados más recientes sólo se diferencian de éstos en la pregunta 8, sobre la igualdad de oportunidades, en que un 25% se muestra insatisfecho y otro 25% se sitúa entre la indiferencia y la satisfacción. La dispersión de las respuestas en estos dos grupos es muy baja.
En las dos categorías restantes los trabajadores encuestados muestran una mayor dispersión de respuestas a las afirmaciones en cinco preguntas, cuatro de las cuales se repiten en los dos grupos. Las ya vistas en la Figura 1, "La empresa tiene en cuenta mecanismos que fortalecen la democracia interna" (p5) y "La empresa promueve la solidaridad interna basada en políticas de igualdad de oportunidades, cohesión social y conciliación de la vida laboral y familiar" (p8), junto con "La empresa trabaja para que los empleados se sientan estimulados a permanecer en sus puestos de trabajo" (p2) y "El bienestar de las personas forma parte de las líneas estratégicas de la empresa y de su modelo de gestión" (p3).
En el grupo de trabajadores de entre 5 y 10 años, el 75% dice estar entre indiferente y muy de acuerdo con la afirmación 1, gestión democrática y transparente (p1); y en el grupo de trabajadores de entre 10 y 20 años, con la afirmación de que las actividades de la empresa se basan en los principios de participación, cohesión, transparencia y responsabilidad social (p6).
Figura. 3. Diagrama de caja de cada una de las preguntas según la antigüedad en la empresa.

Fuente: elaboración propia.
La Figura 4 muestra la distribución de las respuestas según el género del encuestado. En general, las mujeres no están en desacuerdo ni totalmente en desacuerdo con ninguna de las afirmaciones. Esto muestra una creencia generalizada de que la empresa cumple con los preceptos de la economía social según el grupo femenino. Por otro lado, entre el colectivo masculino, el 75% está de acuerdo y totalmente de acuerdo con todas las afirmaciones, a excepción de las preguntas 2, 5 y 8, sobre los incentivos al empleo (p2), la existencia de mecanismos que refuerzan la democracia interna (p5), y el fomento de la solidaridad interna basada en políticas de igualdad de oportunidades, cohesión social y conciliación de la vida personal, familiar y laboral (p8). En estos tres casos, aunque el valor medio es de 3, de acuerdo con las afirmaciones, hay un 25% de encuestados que están entre indiferentes y de acuerdo, y un 25% entre indiferentes y totalmente en desacuerdo.
Figura. 4. Diagrama de caja de cada una de las preguntas según el género.

Fuente: elaboración propia.
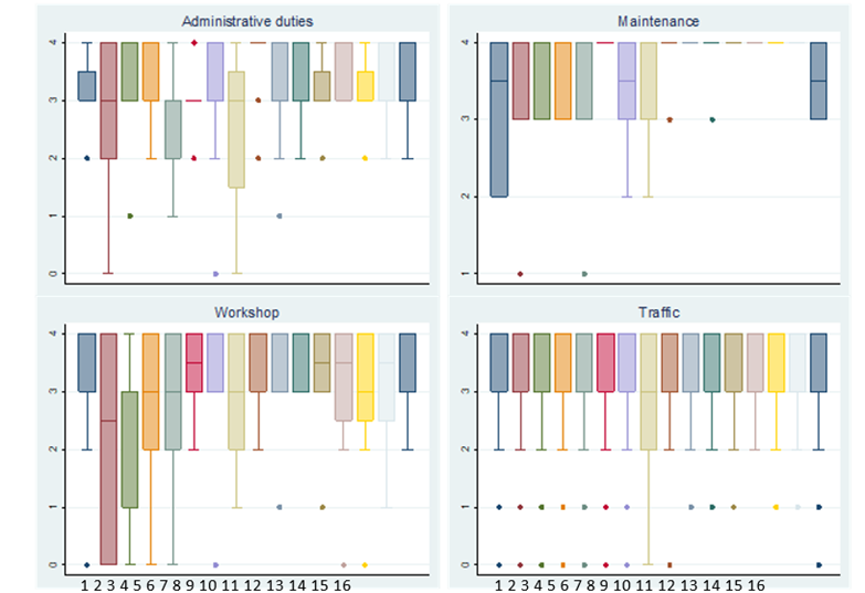
Figura. 5. Diagrama de caja de cada una de las preguntas según el colectivo profesional.

Fuente: elaboración propia.
En cuanto a los diferentes colectivos, la Figura 5 muestra que tráfico es el grupo más homogéneo en cuanto a la distribución de las respuestas, con un 75% de las respuestas en 15 de las 16 preguntas entre de acuerdo y muy de acuerdo, y el 25% restante entre ni de acuerdo ni en desacuerdo y de acuerdo. El grupo de mantenimiento, por su parte, responden en 8 de las 16 preguntas que están totalmente de acuerdo con las afirmaciones. Finalmente, se observa que los empleados de taller son los que menos perciben el cumplimiento de los preceptos de la economía social por parte de la empresa.
Al observar estas diferencias, se realizan estimaciones de la ecuación 1 para ver si existe una relación causal entre la antigüedad y la respuesta, el género y la respuesta, y el colectivo y la respuesta. Sin embargo, más allá de las diferencias observadas, las estimaciones muestran que, en general, no existe una relación causal entre la respuesta y el género, la antigüedad o el colectivo del encuestado. La regresión logística ordenada sólo es relevante en el caso de las preguntas 2, 3, 5, 6, 8, 12 y 14 que se muestran en la Tabla 4. Para el resto de las afirmaciones, la prueba de Wald nos indica que el modelo no es estadísticamente significativo en su conjunto y que tiene coeficientes iguales a 0. La regresión logística ordenada toma como categorías base a los empleados con más de 20 años de antigüedad, a los hombres y a los empleados del grupo de Administración. En este sentido, los resultados reflejan si el resto de las categorías son más propensas a estar de acuerdo y muy de acuerdo, o a los opuestos de desacuerdo y muy en desacuerdo, con respecto a las categorías base de cada grupo.
Como se puede observar en la Tabla 4, según los resultados obtenidos en las preguntas 2 y 3, de estímulo recibido por la empresa y de que el bienestar de los empleados forma parte de las líneas estratégicas, existen diferencias significativas al 10% en la percepción de los encuestados según la antigüedad en la empresa y el género. Las respuestas son más favorables en el grupo que lleva más de 20 años en la empresa en comparación con las otras tres categorías. El género femenino también aumenta la probabilidad de estar más de acuerdo con las afirmaciones. Dentro de los colectivos grupo, el mantenimiento es más favorable a los estímulos que la dirección, y el taller está más en desacuerdo con la pregunta 3.
Por otro lado, respecto a la afirmación 5, sobre la existencia de mecanismos para promover la democracia interna, se observa un menor grado de acuerdo en el grupo de 5 a 10 años, respecto al grupo de más de 20 años, un mayor grado de acuerdo entre los empleados de tráfico y mantenimiento, y ninguna diferencia significativa con los otros dos grupos.
En cuanto a la pregunta sobre si la empresa antepone los intereses de las personas que trabajan en ella a otros intereses (p6), se observa que hay una mayor probabilidad de desacuerdo si el empleado lleva entre 10 y 20 años en la empresa, y una mayor probabilidad de acuerdo si el empleado es mujer y pertenece al colectivo tráfico.
En cuarto lugar, la probabilidad de estar de acuerdo y muy de acuerdo con la afirmación sobre el fomento de la solidaridad interna basada en políticas de igualdad de oportunidades, cohesión social y conciliación de la vida personal, familiar y laboral (p8) disminuye para los que pertenecen a los grupos de antigüedad de 5 a 10 años y de 10 a 20 años y aumenta si pertenecen al colectivo de mantenimiento.
En cuanto a que la empresa establezca alianzas, desarrolle proyectos y colabore para conseguir objetivos de desarrollo sostenible, hay una mayor probabilidad de estar de acuerdo si se pertenece al grupo de tráfico. Por último, la probabilidad de estar de acuerdo con el establecimiento estratégico de políticas de RSE para influir en la productividad de los empleados (p14) disminuye para quienes llevan menos de 5 años en la empresa o entre 10 y 20 años.
Tabla. 4. Resultados de la estimación logística ordenada.
|
|
2 |
3 |
5 |
6 |
8 |
12 |
14 |
|
10 a 20 años |
-0.79* (0.41) |
-0.99** (0.43) |
-0.63 (0.41) |
-0.71* (0.42) |
-1.05** (0.42) |
0.15 (0.43) |
-0.96** (0.43) |
|
5 a 10 años |
-0.95* (0.53) |
-1.01* (0.57) |
-1.05* (0.54) |
-0.09 (0.6) |
-1.23** (0.56) |
0.28 (0.6) |
-0.5 (0.6) |
|
Menos de5 años |
-0.9* (0.40) |
-0.86* (0.43) |
-0.46 (0.4) |
-0.46 (0.42) |
-0.86** (0.42) |
-0.16 (0.44) |
-1.0** (0.44) |
|
Género |
1.18** (0.48) |
1.11** (0.48) |
0.7 (0.43) |
0.94** (0.47) |
0.29 (0.41) |
0.3 (0.44) |
0.6 (0.49) |
|
Mantenimiento |
1.73* (1.0) |
1.23 (0.99) |
1.86* (1.02) |
14.9 (561) |
1.74* (1.0) |
15.7 (730) |
16.57 (1272) |
|
Taller |
-0.96 (0.78) |
-1.43* (0.77) |
0.62 (0.76) |
0.59 (0.75) |
0.49 (0.77) |
0.71 (0.86) |
-0.31 (0.82) |
|
Tráfico |
0.76 (0.5) |
0.03 (0.5) |
0.81* (0.48) |
0.95** (0.47) |
0.73 (0.49) |
1.4** (0.52) |
0.77 (0.49) |
|
Wald chi2 |
19.75** |
18.57*** |
12.13* |
17.17** |
12.27* |
13.28* |
16.52** |
|
Observaciones |
208 |
202 |
190 |
200 |
204 |
187 |
188 |
Fuente: elaboración propia.
5.3. Resultados de los grupos focales
Para el análisis de los grupos focales nos centraremos en analizar las valoraciones de cada colectivo sobre las tres preguntas peor valoradas por el conjunto de la empresa y las tres preguntas mejor valoradas. La tabla 7 muestra las puntuaciones de cada pregunta por cada colectivo y podemos observar que las peor valoradas son las preguntas 2, 5 y 8, mientras que las mejor valoradas son las 9, 11 y 13.
Tabla. 4. Preguntas mejor y peor puntuadas en la encuesta según colectivo de la empresa TUSGSAL.

Fuente: elaboración propia. Nota: Mejores; Peores.
La pregunta sobre si la empresa trabajaba para que los trabajadores se sintieran estimulados (p2) es una de las que peor valoración obtuvo en la encuesta, tanto para el conjunto de la empresa como para cada colectivo de trabajadores. Sobre esta cuestión el colectivo de taller fue el que se mostró más en desacuerdo porque consideraban que “no se les valora lo suficiente”. Este colectivo no se considera motivado por la empresa porque, entre otras razones, no existen incentivos económicos que en otros colectivos sí existen, hay dificultades para subir de categoría, falta apoyo a los jóvenes o la realización de tareas que no son propias. El colectivo de administración señalaba que el estímulo viene dado porque la empresa es propiedad de los trabajadores, a pesar de que se sentían “cada vez más como funcionarios”.
Tanto mantenimiento como administración valoraban el trato familiar existente, el buen ambiente de trabajo, el compañerismo y las actividades de cohesión social, así como las condiciones de trabajo. El colectivo de administración señaló que “Cuando las comparas [otras empresas con TUSGSAL], no te interesa cambiar, por horarios, condiciones económicas, cercanía”. Este mismo argumento es el que según el colectivo de taller utilizan los responsables para eludir algunas mejoras exigidas por el colectivo. Entre las propuestas que surgieron, el colectivo de taller destacó la necesidad de más cursos de formación para los jóvenes y que la dirección valore más a su colectivo con el reconocimiento de la categoría, los descansos y aumentos económicos. El colectivo de mantenimiento y administración coincidían en la necesidad de compartir más información, potenciar la comunicación interna y fomentar el trabajo en equipo.
En cuanto a la pregunta sobre los mecanismos de la empresa para impulsar la democracia interna (p5), los cuatro grupos que forman la empresa coincidieron en indicar que habrían dado una puntuación inferior a la reflejada en la encuesta. Esta opinión la justificaron con argumentos relacionados con la falta de confianza para expresar sus ideas, el predominio de la toma de decisiones de arriba abajo o la falta de espacios concretos para compartir la opinión y tomar decisiones más allá de la asamblea general. En este sentido, el colectivo de tráfico consideraba que la empresa no potenciaba de forma clara los mecanismos de democracia interna “en caso de que existieran” y que en las reuniones que se realizaban no siempre se atrevían a verbalizar lo que sienten. Respecto a las reuniones que se celebraban el colectivo de administración lamentaba que las opiniones vertidas en las comisiones de seguimiento no eran vinculantes. Por su parte, el colectivo de mantenimiento señalaba que “cuando la empresa da la información sobre las decisiones que se han tomado, ya está todo decidido”. Con respecto a la información, el colectivo de taller sentía que ésta era insuficiente, como por ejemplo con el valor de las acciones, y que “a los trabajadores se les escapa muchas cosas sobre la empresa”. Todos los colectivos coincidieron en reclamar espacios donde opinar y recoger propuestas, así como potenciar aquellos espacios de participación que ya existen dentro de la empresa, como son el consejo sociolaboral, el comité de empresa y la asamblea general. El colectivo de mantenimiento reclamaba específicamente más espacios de opinión con los encargados de equipo ya que lamentaban cierta falta de iniciativa para poder impulsar propuestas en equipo. Con respecto a la asamblea general, no es una cuestión que consideren muy importante y al respecto el colectivo de administración indicó que “antes todo el mundo iba a la asamblea, ahora no”. Este mismo colectivo proponía celebrar asambleas generales extraordinarias que sirvieran para que los trabajadores compartieran sus opiniones.
La octava pregunta sobre la promoción de la solidaridad interna y el fomento de políticas de igualdad de oportunidades, cohesión social y conciliación de la vida personal familiar y laboral también generó opiniones menos favorables que lo reflejado en la encuesta. De las diferentes cuestiones planteadas en la pregunta, los cuatro colectivos coinciden en señalar que la conciliación familiar es un problema que debería enfocarse mejor. Sin embargo, respecto a la cohesión social e igualdad de oportunidades existía una diversidad de opiniones entre los colectivos. Así, mientras que el colectivo de taller valoraba bien tanto la cohesión social dentro de la empresa como la igualdad de oportunidades, el colectivo de administración se mostraba mucho más crítico. Respecto a la igualdad de oportunidades señalaban que a veces se mezclaban los aspectos personales con los laborales. También lamentaban la pérdida de cohesión social en los últimos años cuando afirmaban que “la empresa se ha despersonalizado” a pesar de algunas actividades que organiza la Comisión Social de la empresa. De hecho, se aprecia cierta nostalgia entre los trabajadores con más antigüedad con respecto a los aspectos sociales de la empresa en el pasado. Sin embargo, el colectivo de tráfico valoraba positivamente que la empresa organizara actividades (cine, pádel, bicicleta) y consideraban que a pesar de ser un trabajo individual (el de conductor de autobús) se sentían cohesionados en el colectivo. Entre las propuestas en este ámbito, el colectivo de administración proponía, sin especificar, generar más momentos de cohesión social y anteponer los intereses generales de la empresa a los personales. Los colectivos de tráfico y administración coincidían en la necesidad de mejorar aspectos de la conciliación laboral, proponiendo en el caso de tráfico la contratación de suplentes.
Con respecto a las preguntas mejor valoradas la pregunta sobre la propiedad del capital de la empresa en manos de los trabajadores (p9) es de las mejor consideradas por el conjunto de los colectivos de la empresa. Los colectivos de taller y tráfico consideraban como algo positivo que los trabajadores sean los propietarios del capital, es algo que “fortalece a la empresa”. Sin embargo, el colectivo de administración indicaba que “actualmente la gente no tiene la sensación de que la empresa es suya, aun teniendo acciones”. Con respecto a la cuestión de la propiedad de capital donde había más debate era sobre la manera de adquirir las acciones. Mientras que los colectivos de tráfico y taller lamentaban la obligatoriedad de la compra de las acciones y proponían más facilidades para la adquisición de éstas, como por ejemplo la opción de comprar menos acciones o dar más margen para comprarlas, el colectivo de administración consideraba que no era justo quejarse por la obligación de comprar acciones debido a que la empresa ofrece muchas facilidades para su compra y que “hasta que no pagas las acciones al completo, no percibes el beneficio de haberlas adquirido”. Esta última afirmación puede tener relación con que los otros colectivos reclamaron más información sobre los beneficios de ser accionista de la empresa. También se percibía temor con respecto al futuro de las acciones. Como señaló el colectivo de administración, las acciones se perciben como “un plan de pensiones en la empresa”, si bien el valor de éstas no está garantizado en el futuro y depende en buena medida de seguir ganando concursos públicos de transporte. Además de la propiedad del capital, todos los colectivos señalaban que la empresa contrata como personal fijo a prácticamente todas las personas que entran, si bien nuevamente en administración señalaban que “en realidad el contrato indefinido no lo tiene nadie, porque se trabaja por una concesión [pública]”.
La pregunta trataba sobre la percepción de los trabajadores con respecto a la implantación de criterios responsables en los ámbitos económico, social y medioambiental que contribuyan a una mejor sociedad y a un desarrollo sostenible (p11). El colectivo de tráfico destacaba la fuerte cohesión social que favorece las iniciativas sociales desarrolladas por la empresa, lo que favorecía que los trabajadores fueran proactivos. Con respecto a la sostenibilidad ambiental, la valoración fue muy positiva en el conjunto de colectivos ya que se trata de algo que perciben. Entre otras medidas, los participantes en los grupos focales señalaban que la empresa ha invertido en reciclaje, ha introducido nuevas flotas de autobuses eléctricos, ha recibido certificaciones que acreditan sus prácticas en materia de sostenibilidad y ha clasificado los proveedores con criterios ambientales. En cuanto a las propuestas, el colectivo de taller reclamaba más formación para poder atender mejor las necesidades técnicas de la nueva flota de autobuses.
Finalmente, la pregunta sobre si la empresa consideraba esencial la certificación en Responsabilidad Social Corporativa (RSC) como oportunidad para mejorar los beneficios y contribuir a crear una sociedad más justa y eficiente (p13), la valoración en el grupo focal fue diversa. El colectivo de administración fue el que más discutió esta pregunta. No tenían claro que la RSC contribuyera de forma directa a mejorar los beneficios y había una división de opiniones sobre su contribución a la capacidad de la empresa para ganar concursos. Para unas personas era un aspecto clave, mientras que otras únicamente lo consideraban un aspecto más del conjunto de factores que se debían tener en cuenta. Sin embargo, coincidían con el resto de los colectivos en señalar que de cara al entorno de la empresa era positivo que fuera percibida como una empresa fuerte en materia de responsabilidad social. Se valoraba positivamente que la empresa colaborara activamente en proyectos sociales, con asociaciones, con la recogida de alimentos o que está muy arraigada a su ciudad (Badalona). En otra pregunta también relacionada con la RSC (p12), el colectivo de tráfico señalaba que la Comisión Social de la empresa cuenta con un presupuesto y una organización propia que es como una asociación dentro de la propia empresa.
6. Discusión y conclusiones
Con el desarrollo y el crecimiento de las organizaciones de economía social aparecen tensiones relacionadas con el cumplimiento de los valores fundacionales que motivaron su constitución y la necesidad de alcanzar estándares de gestión que les permitan competir con las empresas capitalistas. Apostar estratégicamente por una de estas alternativas implica en el primer caso una pérdida de capacidad e influencia, y en el segundo una dilución de los principios sociales en favor de una gestión tecnocrática guiada por objetivos estrictamente productivistas. Como apuntan Storey et al. (2014) y Bretos et al. (2020) parece que las organizaciones de la economía social, más allá de las particularidades de cada forma jurídica, se ven abocadas a lidiar permanentemente con ambas perspectivas, con el objetivo final de alcanzar un equilibrio dinámico que permita la adaptación al contexto cambiante. Un equilibrio dinámico que se materializa en la capacidad de la organización de ser consciente de las necesidades de la empresa en cada momento sin que ello implique una apuesta definitiva que impida revisar determinadas actuaciones.
La investigación realizada se enmarca en este debate. Surge a partir de la necesidad de la empresa TUSGSAL de rediseñar su estrategia empresarial tras más de treinta años donde la tendencia ha favorecido los posicionamientos gerenciales y productivistas apuntando hacia una cierta degeneración organizacional observada ya en los primeros estudios en profundidad desarrollados sobre esta cuestión (Cornfoth et al., 1988). La detección de esta tendencia ha permitido a la empresa TUSGSAL iniciar un replanteamiento para retomar los principios sociales que llevaron a la creación de la empresa, abriendo claramente una fase revitalizante para regenerar la organización (Bretos et al., 2020). Esta revisión de la situación de la empresa ha empezado con un diagnóstico interno sobre la opinión de los trabajadores a cerca del grado de alineamiento de la empresa con una serie de principios vinculados a la economía social. Un proceso de reflexión en la línea del analizado en Mondragón Corporación Cooperativa por Cheney et al. (2014: 596) y que se inició con una encuesta adaptada a las necesidades de la empresa de dieciséis preguntas y cuatro grupos focales. Con la información recogida hemos evaluado hasta qué punto los trabajadores valoran a TUSGSAL como una empresa de economía social.
Los principios evaluados con la encuesta tienen que ver con la sostenibilidad, la justicia social, la calidad del empleo, la gobernanza y el compromiso social con el entorno de la empresa. El análisis realizado muestra que los trabajadores coinciden en valorar positivamente el alineamiento de su empresa con los principios de la economía social. La mayor parte de las preguntas registran una puntuación media mayor a 3 y más del 75% de las personas encuestadas indican estar de acuerdo o completamente de acuerdo con las preguntas planteadas. Es más, en 12 de las 16 preguntas el grado de acuerdo es de más del 80% y en 7 de ellas asciende a más del 90%. Hay una pregunta que está en el linde del 75% y sólo dos preguntas con una valoración inferior. Es decir, la percepción global de los trabajadores es que la empresa cumple de forma notable con las características de una empresa de economía social como las discutidas en el marco teórico (CEPES, 2021; Chaves y Monzón (218).
Sin embargo, cuando prestamos atención detallada podemos observar algunas tendencias que sugieren síntomas de degeneración en la organización. Por ejemplo, el colectivo de Taller otorgó la puntuación más baja a la pregunta sobre si la empresa estimula a los empleados y en el foco grupal mostraron estar en desacuerdo con la puntuación que el conjunto de trabajadores de la empresa había otorgado a esa pregunta, subrayando que la empresa no siempre valora correctamente su trabajo en el taller lo que afectaba a la implicación. Respecto a esta misma cuestión, si bien los grupos focales coincidían en señalar el elevado sentido de pertenencia existente en la empresa, el colectivo de administración reconocía cierto acomodamiento por parte de los trabajadores y la pérdida de la conciencia de pertenecer a una empresa social, lo que apuntaría también a una degeneración cultural de la empresa.
La cuestión de la democracia interna es seguramente la cuestión que menos aprobación generó, claramente reflejado en los resultados de la pregunta 5. Si bien el colectivo de administración fue el que peor puntuó esta pregunta, en el grupo focal también apuntaron que existe una pérdida de interés sobre la toma de decisiones que se refleja en la menor participación en las asambleas. Es más, los trabajadores sugieren que la empresa debería contar más con la opinión de los trabajadores y mejorar los canales de participación, pero también reconocen que la empresa propone espacios de participación que no siempre utilizan los trabajadores. Es decir, se detectan contradicciones entre el deseo de tener más influencia en la gestión y la falta de implicación en los espacios destinados a esta función.
Lo anterior apunta a la existencia de visiones diferenciadas dentro de la empresa respecto a las cuestiones relacionadas con la participación y los valores de la empresa. En sentido positivo, los resultados tanto de la encuesta como de los grupos focales reconocen el compromiso social de la empresa, la propiedad colectiva de la empresa, así como el compromiso social mediante prácticas extendidas de responsabilidad social. Esto apunta a que los empleados reconocen en su empresa aspectos propios de las empresas de la economía social destacando el objetivo social, el compromiso con el entorno y la propiedad colectiva (CEPES, 2021).
Los resultados obtenidos también muestran diferencias generacionales. Los empleados que manifiestan estar más de acuerdo con las afirmaciones tienen menos de 5 años en la empresa o más de 20 años. Esto apunta a que los más nuevos y los más veteranos son los que más reconocen los principios de la economía social en la actuación de la empresa. Es decir, no existe un conflicto básico entre fundadores y no-fundadores. La diferencia se observa entre las generaciones intermedias por un lado y los más jóvenes y veteranos por el otro. Del mismo modo, los resultados muestran que, según el género, las mujeres muestran una creencia generalizada de que la empresa cumple con los principios de la economía social. Además, a pesar de no haber podido sistematizar mejor las opiniones de los grupos focales, las observaciones de las opiniones individuales también refuerzan los patrones descritos. Así, las mujeres, los miembros más nuevos y los más veteranos están en general más satisfechos con el cumplimiento de los principios de la economía social por parte de la empresa.
Finalmente, también debemos comentar la cuestión de la propiedad de la empresa. Si bien se observa una opinión favorable generalizada sobre el hecho de poseer una parte de la empresa, existe un debate importante sobre el acceso a la propiedad. A pesar de que cerca de 9 de cada 10 trabajadores de la empresa son socios y socias accionistas, algunos miembros de la empresa mostraron su disconformidad con la forma de adquirir las acciones y que éstas fueran de adquisición obligatoria. Al mismo tiempo, otras personas consideran que la empresa facilitaba la adquisición de las acciones y reconocía los beneficios de ser propietaria de la empresa. Dada la baja ratio de empleados que no son socios sobre el total, el debate en torno a la adquisición de las acciones no es entre socios y empleados como se ha observado en otros casos (Coque, López y Loredo, 2012; Bretos y Errasti, 2016), sino con un sector de trabajadores que se muestran reacios a la adquisición de las acciones. Como han apuntado otras investigaciones anteriores, que la propiedad esté en manos de los empleados no significa una mejora directa en los niveles de satisfacción, comportamiento y participación (Kruse y Blasi, 1995).
En definitiva, para avanzar en la regeneración de la empresa social TUSGSAL podemos apuntar la necesidad de mejorar los aspectos relacionados con la participación y la gobernanza de la empresa. Esta tarea exige un mayor compromiso por parte de los trabajadores en tanto que propietarios de la empresa y, por tanto, entender sus responsabilidades laborales y gerenciales. Quizás, para impulsar el compromiso, entender el conjunto de la organización y asumir la responsabilidad colectiva sobre la marcha de la empresa, sea necesario desarrollar planes de formación específicos que permitan a los trabajadores alejados de las posiciones gerenciales y de generaciones alejadas de la fundación de la empresa, entender mejor los aspectos financieros, fiscales, comerciales, comunicativos o laborales. De esta manera la empresa social lograría el equilibrio dinámico entre la perspectiva mercantil y la social.
7. Referencias bibliográficas
Ariani, D.W. (2012) Leader-member exchanges as a media to rof the effect of job satisfaction on affective organizational commitment: An empirical test. The International Journal of Management, 29(1), pp. 46-56.
Armstrong, J.S. y Overton, T.S. (1977) Estimating Nonresponse Bias in Mail Surveys. Journal of Marketing Research, 14(3), pp. 396-402.
Bakaikoa, B.; Etxezarreta, E., y Morandeira, J. (2013) Regeneración de empresas de la economía social: un reto en el país vasco. REVESCO. Revista de Estudios Cooperativos, Nº 112, pp. 151-175. http://dx.doi.org/10.5209/rev_REVE.2013.v112.43064.
Bakaikoa, B; Errasti, A; Beguiristain, A. (2004) Governance of the Mondragon Corporacion Cooperativa. Annals of Public and Cooperative Economics, 75(1), pp. 61-87. https://doi.org/10.1111/j.1467-8292.2004.00243.x.
Batstone, E. (1983) Organization and Orientation: A Life Cycle Model of French Co-operatives. Economic and Industrial Democracy, 4, pp. 139-161.
Belategi, O., Gago, M. y Egaña, T. (2019) La comunicación interna en las cooperativas: la percepción de las personas trabajadoras sobre la escucha y la información. REVESCO: Revista de estudios cooperativos, Primer Cuatrimestre, Nº 130, pp. 9-32. https://doi.org/10.5209/REVE.62812.
Breton, G. y Côté, L. (1995) Agency Relationship and Stakeholder Theory Revisited. Brussels: Workshop on Accounting in its Organizational and Social Context.
Bretos, I. y Errasti, A. (2016) Dinámicas de regeneración en las cooperativas multinacionales de Mondragón: La reproducción del modelo cooperativo en las filiales capitalistas. CIRIEC-España, Revista de Economía Pública, Social y Cooperativa, Nº 86, pp. 5-34. http://dx.doi.org/10.7203/CIRIEC-E.86.5183.
Bretos, I., Errasti, A. y Marcuello, C. (2020) Is there life after degeneration? The organizational life cycle of cooperatives under a ‘grow-or-die’ dichotomy. Annals of Public and Cooperative Economics, 91, pp. 435-457. https://doi.org/10.1111/apce.12258.
Buendía, I. (2000) La participación democrática: ¿un valor en extinción en las sociedades cooperativas? CIRIEC-España, Revista de Economía Pública, Social y Cooperativa, Nº 34, pp. 7-21.
CEPES (2020, 11 de mayo) Análisis del Impacto Socioeconómico de los Valores y Principios de la Economía Social en España. Disponible en: https://www.cepes.es/files/publicaciones/118.pdf.
CEPES (2021, 12 de abril). Confederación Empresarial Española de Economía Social. Disponible en: https://www.cepes.es/.
Chaddad, F. y Iliopoulos, C. (2013) Control rights, governance, and the costs of ownership in agricultural cooperatives. Agribusiness 29, pp. 3-22. https://doi.org/10.1002/agr.21328.
Chaves, R. y Sajardo, A. (2004) Social economy managers: Between values and entrenchment. Annals of public and cooperative economics, 75(1), pp. 139-161. http://dx.doi.org/10.1111/j.1467-8292.2004.00246.x.
Chaves, R. y Monzón, J.L. (2018) La economía social ante los paradigmas económicos emergentes: innovación social, economía colaborativa, economía circular, responsabilidad social empresarial, economía del bien común, empresa social y economía solidaria. CIRIEC-España, Revista de Economía Pública, Social y Cooperativa, Nº 93, pp. 5-50. https://doi.org/10.7203/CIRIEC-E.93.12901.
Cheney, G., Santa Cruz, I., Peredo, A.M. y Nazareno, E. (2014) Worker cooperatives as an organizational alternative: Challenges, achievements and promise in business governance and ownership. Organization, 21(5), pp. 591-603. https://doi.org/10.1177%2F1350508414539784.
Coque, J., López, N. y Loredo, E. (2012) Recuperación de empresas por sus trabajadores en contextos de crisis: ¿qué podemos aprender de experiencias pasadas? CIRIEC-España, Revista de Economía Pública, Social y Cooperativa, Nº 76, pp. 97-126.
Cornforth, C. (2004) The governance of cooperatives and mutual associations: a paradox perspective. Annals of Public and Cooperative Economics, 75(1), pp. 11-32. https://doi.org/10.1111/j.1467-8292.2004.00241.x.
Cornforth, C.; Thomas, A.; Spear, R. and Lewis, J. (1988). Developing Successful Worker Co.operatives. London: Sage Publications.
Correa-Garcia, J.; Restrepo, S. y Castañeda, F. (2018) Indicadores financieros y su eficiencia en la explicación de la generación de valor en el sector cooperativo. Revista Facultad de Ciencias Económicas, Nº 26(2), pp. 129-144.
Deetz, S. (1995) Transforming communication, transforming business: Building responsive and responsible workplaces. New York: Hampton Press. 224 p.
Dulfer, E. y Hamm, W. (eds.). (1985) Cooperatives: In the Clash between Member Participation, Organizational Development and Bureaucratic Tendencies. London: The Book Service Ltd. 552 p.
ECOGOOD (2021, 23 de mayo) Quick Test “Economy for the Common Good”. Disponible en: https://web.ecogood.org/media/filer_public/29/5d/295d0174-7909-469f-b84a-f9d16db9f0f8/quick_test_matrix_41_-_13.pdf.
European Comission (2021, 11 de mayo) EU action plan for social economy. Disponible en: https://ec.europa.eu/info/law/better-regulation/have-your-say/initiatives/12743-EU-action-plan-for-social-economy_en.
Gargallo, A. y Freundlich, F. (2010) Percepciones de los socios y no socios cooperativistas sobre la satisfacción laboral. REVESCO. Revista de Estudios Cooperativos, Nº 103, pp. 33-58. https://revistas.ucm.es/index.php/REVE/article/view/REVE1010440033A.
Giroux, N. (1990) Participation et prise de décision stratégique en contexte coopératif. Centre de Gestion des Coopératives. HEC. Les Chahiers de Recherche, 90-8.
Heras-Saizarbitoria, I. (2014) The ties that bind? Exploring the basic principles of worker-owned organizations in practice. Organization 21(5), pp. 645-665. https://doi.org/10.1177%2F1350508414537623.
Hernández, I. y Serrano, E. (2021) Economies alternatives-transformadores i renovació terminològica. Terminàlia, 23, pp. 56-59. DOI: 10.2436/20.2503.01.162
ICA – International Cooperative Alliance (2022, 1 de julio) Cooperative identity, values & principles. Disponible en: https://www.ica.coop/en/cooperatives/cooperative-identity.
ILO - International Labour Organitzation (2014, 11 de mayo) Cooperatives and the Sustainable Development Goals. Disponible en: https://sustainabledevelopment.un.org/content/documents/1247ilo.pdf.
Kruse, D. y Blasi, J. (1995) Employee ownership, employee attitudes, and firm performance. National Bureau of Economic Research Working Paper Series 5277.
Larrañaga, A. (2014) La transparencia en las cooperativas: más transparencia es más participación. Derecom, Nº 16, pp. 7.
Lindner, J.R., Murphy, T.H. y Briers, G.E. (2001) Handling nonresponse in social science research. Journal of Agricultural Education, 42 (4), pp. 43-53.
Meliá, E., Carnicer, M.P. y Juliá, J.F. (2017) El gobierno interno de las mayores cooperativas agroalimentarias españolas y su relación con el rendimiento. REVESCO. Revista de Estudios Cooperativos, Segundo Cuatrimestre, Nº 124, pp. 98-113. https://doi.org/10.5209/REVE.54924.
Monzón, J.L. (2003) El cooperativismo en la historia de la literatura económica. CIRIEC-España, Revista de Economía Pública, Social y Cooperativa, Nº 44, pp. 9-31.
Morgan, D.L. (1997) Focus Groups as Qualitative Research (Second Edition ed.). Thousand Oaks: Sage.
Pansera, M. y Rizzi, F. (2020) Furbish or perish: Italian social cooperatives at a crossroads. Organization, 27(1), pp. 17-35. https://doi.org/10.1177%2F1350508418760980.
Pedrosa, C. y García, E. (2011) El gobierno en la sociedad cooperativa como base de la cohesión social: el caso de una sociedad cooperativa agraria. REVESCO. Revista de Estudios Cooperativos, Tercer Cuatrimestre, Nº 106, pp. 7-32. https://doi.org/10.5209/rev_REVE.2011.v106.37372.
Ridley-Duff, R. (2010) Communitarian governance in social enterprises. Case evidence from the Mondragon Cooperative Corporation and School Trends Ltd. Social Enterprise Journal, 6(2), pp. 125-145. https://doi.org/10.1108/17508611011069266.
Rothschild, J. y Whitt, J.A. (1986) The Co-operative Workplace: Potentials and Dilemmas of Organisational Democracy and Participation. New York: Cambridge University Press. 232 p.
RSECOOP (2021, 20 de mayo) Responsabilitat social de les empreses de l’economia cooperativa. Disponible en: https://www.cooperativescatalunya.coop/rsec/.
SABI (2021, 15 de octubre) Sistema de Análisis de Balances Ibéricos. Disponible en: https://sabi.bvdinfo.com/.
Serrano, E. (2019) Introducció a l’economia i l’empresa social. Barcelona: Icària. 191 p.
Social Economy Europe (2021, 11 de mayo) A European Action Plan for the Social Economy. Disponible en: https://ec.europa.eu/social/main.jsp?catId=1537&langId=en.
Storey, J., Basterretxea, I. y Salaman, G. (2014) Managing and resisting ‘degeneration’ in employee-owned businesses: A comparative study of two large retailers in Spain and the United Kingdom. Organization, 21(5), pp. 626-644. https://doi.org/10.1177%2F1350508414537624.
TUSGSAL (2019) Memòria anual 2018. Badalona: Tusgsal.
Wheeler, D. y Sillanpaa, M. (1997) The stakeholder corporation: A blueprint for maximizing stakeholder value. Ohio: Pitman. 372 p.
[1] Universitat Pompeu Fabra, España.
Dirección de correo electrónico: vbernardo@tecnocampus.cat.
[2] Universitat Pompeu Fabra, España.
Dirección de correo electrónico: ihernandeza@tecnocampus.cat.
[3] Universitat Pompeu Fabra, España.
Dirección de correo electrónico: eserrano@tecnocampus.cat.